14:43 | 19/07/2020 GMT+7
Đáp án đề thi môn Toán tuyển sinh lớp 10 tỉnh Nghệ An năm 2020
aa
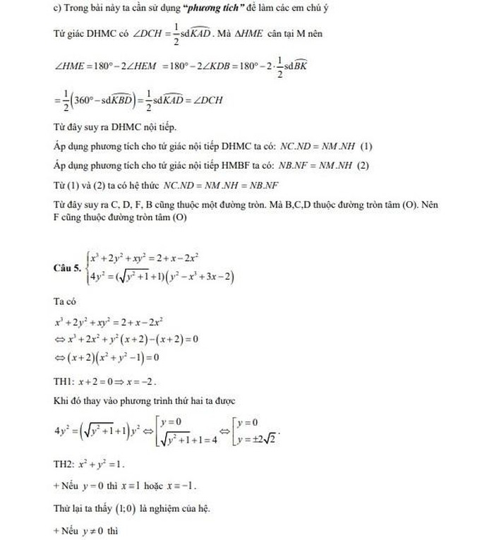
Đáp án đề thi môn Toán tuyển sinh lớp 10: Dưới đây là đáp án đề thi vào lớp 10 của Sở GD tỉnh Nghệ An năm học 2020 - 2021.
Đáp án đề thi môn Toán tuyển sinh lớp 10 vào THPT tỉnh Nghệ An năm 2020:
![]() |
![]() |
![]() |
| Đáp án đề thi môn Toán tuyển sinh lớp 10 vào THPT tỉnh Nghệ An năm 2020. Ảnh: hocmai |
Đề thi môn Toán tuyển sinh lớp 10 vào THPT tỉnh Nghệ An năm 2020:
![]() |
| Ảnh: hocmai |
Nguồn:
Tags:
Tin cùng chủ đề: Xem đáp án đề thi các môn vào lớp 10 năm 2020
Tin bài liên quan
Sáng nay (13/6), thí sinh Hà Nội thi 2 môn Toán và Lịch sử
Sáng nay 13/6, hơn 93.000 thí sinh tham dự kỳ thi lớp 10 THPT công lập tại Hà Nội sẽ bước vào buổi thi cuối cùng với 2 môn Toán và Lịch sử.
Đáp án chính thức đề thi môn Toán kỳ thi tốt nghiệp THPT 2020 đợt 2 do Bộ GD&ĐT công bố
Đáp án đề thi môn Toán kỳ thi tốt nghiệp THPT quốc gia 2020 chính xác nhất. Cập nhật đáp án đề thi môn Toán tốt nghiệp THPT quốc gia 2020 trên Thời Đại.
Đáp án, đề thi môn Toán kỳ thi tốt nghiệp THPT Quốc gia 2020
Gợi ý đáp án, đề thi môn Toán kỳ thi tốt nghiệp THPT Quốc gia 2020 với 24 mã đề, gồm: 101 102 103 104 105 106 107 108 109 110 111 112 113 114 115 116 117 118 119 120 121 123 124 được cập nhật liên tục.
Các tin bài khác
Quy định về xử phạt trục xuất đối với người nước ngoài vi phạm pháp luật Việt Nam
Chính phủ ban hành Nghị định số 59/2026/NĐ-CP quy định hình thức xử phạt trục xuất, biện pháp tạm giữ người, áp giải người vi phạm theo thủ tục hành chính và quản lý người nước ngoài vi phạm pháp luật Việt Nam trong thời gian làm thủ tục trục xuất.
Lịch nghỉ dịp lễ Giỗ Tổ Hùng Vương và dịp 30/4 - 1/5/2026
Sau kỳ nghỉ Tết Nguyên đán 2026, người lao động sẽ được nghỉ 3 ngày dịp Giỗ Tổ (dịp 10/3 âm lịch) và 4 ngày dịp 30/4 - 1/5.
Thời tiết hôm nay (21/02): Hà Nội nhiệt độ cao nhất 26 độ
Trung tâm dự báo khí tượng thủy văn quốc gia đưa ra thông tin dự báo thời tiết Hà Nội và các khu vực khác trên cả nước ngày và đêm 21/02 (mùng 5 Tết Bính Ngọ).
Thời tiết ngày mùng 3 Tết (19/2): Bắc Bộ trời rét, Nam Bộ ngày nắng
Theo Trung tâm Dự báo Khí tượng Thủy văn Quốc gia, từ ngày 19-22/2 (tức mùng 3 đến mùng 6 Tết), Bắc Bộ trời rét, vùng núi có nơi rét đậm với nhiệt độ dưới 13 độ C. Nam Trung Bộ, Tây Nguyên và Nam Bộ ngày trời nắng.
Đọc nhiều
Cô giáo người Si La Lỳ Mì Lé và khát vọng đưa tiếng nói bản làng vào nghị trường Quốc hội
Là giáo viên mầm non công tác tại địa bàn biên giới tỉnh Điện Biên, Lỳ Mì Lé – người dân tộc Si La – tham gia ứng cử đại biểu Quốc hội với mong muốn góp phần đưa tiếng nói của đồng bào dân tộc rất ít người đến diễn đàn chính sách cao nhất của đất nước.
FAVIJA cùng các sinh viên Nhật Bản tặng xe lăn cho người khuyết tật Việt Nam
Từ ngày 24 - 25/02/2026, Tổ chức Giao lưu Quốc tế Việt Nam Nhật Bản (FAVIJA) đã phối hợp cùng các sinh viên tình nguyện thuộc Câu lạc bộ Rotary, Đại học Chuo (Nhật Bản) trao tặng miễn phí 10 chiếc xe lăn cho trẻ em và người khuyết tật có hoàn cảnh khó khăn tại một số tỉnh, thành phía Nam Việt Nam.
Phát biểu của Tổng Bí thư Tô Lâm tại Hội nghị toàn quốc quán triệt, triển khai Nghị quyết số 79 và 80 của Bộ Chính trị
Ngày 25/02, Tổng Bí thư Tô Lâm đã dự và phát biểu chỉ đạo tại Hội nghị toàn quốc nghiên cứu, học tập, quán triệt và triển khai thực hiện Nghị quyết số 79 - NQ/TW về phát triển kinh tế Nhà nước và Nghị quyết số 80 - NQ/TW về phát triển văn hóa Việt Nam. Tạp chí Thời đại trân trọng giới thiệu toàn văn phát biểu của Tổng Bí thư Tô Lâm.
Rà soát toàn diện chống khai thác IUU
Ngày 24/02 tại phiên họp thứ 31, Ban Chỉ đạo Quốc gia về chống khai thác hải sản bất hợp pháp, không báo cáo và không theo quy định (IUU) yêu cầu các bộ, ngành, địa phương rà soát toàn diện việc thực hiện nhiệm vụ, khắc phục triệt để tồn tại, bảo đảm dữ liệu thống nhất, minh bạch và sẵn sàng giải trình ở cả cấp chính sách và kỹ thuật.
Bờ cõi biển đảo
Miền đất - Con người Cuộc sống vùng biên Nhịp sống biển đảo Lịch sử chủ quyền Giao lưu hữu nghị
Tổ chức bầu cử sớm cho các lực lượng thực hiện nhiệm vụ trên biển
Vùng 2 Hải quân tổ chức bầu cử sớm tại bến và tiễn đoàn thực hiện nhiệm vụ bầu cử sớm đại biểu Quốc hội khóa XVI và đại biểu HĐND Thành phố Hồ Chí Minh khóa XI, nhiệm kỳ 2026 – 2031 cho các lực lượng thực hiện nhiệm vụ trên biển.
Tập trung 5 nhóm vấn đề chuẩn bị làm việc với EC, quyết tâm gỡ cảnh báo “thẻ vàng” IUU
Phó Thủ tướng Trần Hồng Hà vừa ký Công điện số 18/CĐ-TTg ngày 25/2/2026 của Thủ tướng Chính phủ về việc tập trung chuẩn bị làm việc với Đoàn Thanh tra của Ủy ban Châu Âu lần thứ 5, quyết tâm gỡ cảnh báo “thẻ vàng” đối với thủy sản Việt Nam.
Rà soát toàn diện chống khai thác IUU
Ngày 24/02 tại phiên họp thứ 31, Ban Chỉ đạo Quốc gia về chống khai thác hải sản bất hợp pháp, không báo cáo và không theo quy định (IUU) yêu cầu các bộ, ngành, địa phương rà soát toàn diện việc thực hiện nhiệm vụ, khắc phục triệt để tồn tại, bảo đảm dữ liệu thống nhất, minh bạch và sẵn sàng giải trình ở cả cấp chính sách và kỹ thuật.
Truyền hình
Đại sứ Lào tại Việt Nam tin tưởng Đại hội XIV sẽ tạo động lực mạnh mẽ cho Việt Nam phát triển toàn diện
Đánh giá cao những thành tựu Việt Nam đạt được thời gian qua, Đại sứ Lào tại Việt Nam Khamphao Ernthavanh cho rằng Đại hội XIV là sự kiện có ý nghĩa đặc biệt quan trọng, tạo động lực mới để Việt Nam phát triển toàn diện, bền vững và hiện thực hóa các mục tiêu phát triển dài hạn.
[Video] Vũ điệu chúc xuân sôi động của Đại sứ Hà Lan tại Việt Nam
Nhân dịp Tết Nguyên đán Bính Ngọ 2026, Đại sứ quán và Tổng Lãnh sự quán Vương quốc Hà Lan tại Việt Nam đã gửi tới người dân Việt Nam một món quà tinh thần đặc biệt: một clip chúc Tết với màn vũ đạo sôi nổi, trẻ trung, được thực hiện trong thời gian chuẩn bị chỉ vỏn vẹn 10 phút.
[Video] Đại sứ Lào tại Việt Nam tin tưởng Đại hội XIV sẽ tạo động lực mạnh mẽ cho Việt Nam phát triển toàn diện
Đánh giá cao những thành tựu Việt Nam đạt được thời gian qua, Đại sứ Lào tại Việt Nam Khamphao Ernthavanh cho rằng Đại hội XIV là sự kiện có ý nghĩa đặc biệt quan trọng, tạo động lực mới để Việt Nam phát triển toàn diện, bền vững và hiện thực hóa các mục tiêu phát triển dài hạn.
[Video] WVIV thúc đẩy nông nghiệp tái sinh, nâng cao sinh kế cộng đồng tại Thanh Hóa
Mới đây, tại tỉnh Thanh Hóa, Tập đoàn ADM và Tổ chức World Vision International tại Việt Nam chính thức khởi động dự án “Gieo Mầm Bền Vững” do ADM Cares - chương trình trách nhiệm xã hội của ADM - tài trợ với ngân sách hơn 100.000 USD (tương đương hơn 2,5 tỷ đồng). Dự án hướng tới thúc đẩy nông nghiệp bền vững, phục hồi hệ sinh thái và nâng cao khả năng thích ứng của cộng đồng địa phương, đồng thời bảo vệ môi trường cho các thế hệ tương lai.
[Video] Plan International và Tỉnh Đoàn Quảng Trị xây dựng lực lượng thanh niên hành động vì khí hậu
Mới đây, Ban Thường vụ Tỉnh Đoàn Quảng Trị phối hợp với Văn phòng Plan International Việt Nam tại Quảng Trị tổ chức Lễ ra mắt Học viện Thanh niên hành động ứng phó với biến đổi khí hậu tỉnh Quảng Trị giai đoạn 2025-2026. Đây là mô hình mới nhằm nâng cao năng lực, khơi dậy tinh thần chủ động và phát huy vai trò của thanh niên trong ứng phó với biến đổi khí hậu, bảo vệ môi trường và thúc đẩy phát triển bền vững tại địa phương.
[Video] 10 sự kiện văn hóa, thể thao và du lịch tiêu biểu năm 2025
Bộ Văn hóa, Thể thao và Du lịch đã công bố 10 sự kiện văn hóa, thể thao và du lịch tiêu biểu năm 2025, trong đó sự kiện văn hóa chiếm đa số; lĩnh vực thể thao, du lịch, báo chí mỗi lĩnh vực góp một sự kiện tiêu biểu.
Plan International Việt Nam hỗ trợ khẩn cấp hơn 1,8 tỷ đồng cho người dân Đà Nẵng sau bão
Ngày 10/12, tổ chức Plan International Việt Nam vừa phối hợp cùng Bộ Nông nghiệp và Môi trường và Ủy ban Nhân dân thành phố Đà Nẵng triển khai đợt cấp phát đầu tiên trong gói viện trợ khẩn cấp trị giá 1,848 tỷ đồng nhằm hỗ trợ người dân bị ảnh hưởng bởi bão Fengshen và Kalmaegi.
Vietnam Happy Fest 2025: Lan tỏa những giá trị hạnh phúc giữa lòng Hà Nội
Từ ngày 5 - 7/12, không gian Phố đi bộ Hồ Hoàn Kiếm (Hà Nội) trở thành điểm hẹn văn hóa - nghệ thuật sôi động với sự kiện Ngày hội Việt Nam Hạnh phúc - Vietnam Happy Fest 2025 thu hút hàng chục nghìn người dân và du khách trong và ngoài nước.
[VIDEO] Tổ chức Cứu trợ Trẻ em tiếp sức trẻ em Bắc Ninh sớm quay về nhịp sống sau thiên tai
Ngày 05/12 tại tỉnh Bắc Ninh, Tổ chức Cứu trợ Trẻ em tại Việt Nam phối hợp với Bộ Nông nghiệp và Môi trường, Đại sứ quán Canada tại Việt Nam tổ chức Lễ khởi động Chương trình hỗ trợ cho các hộ gia đình có trẻ em bị ảnh hưởng bởi bão số 11 tại tỉnh Bắc Ninh. Dự án cung cấp hỗ trợ bằng tiền mặt nhằm giúp các hộ dân bị ảnh hưởng tại hai xã Yên Thế và Bố Hạ sớm vượt qua khó khăn, ổn định cuộc sống và đảm bảo việc học tập của trẻ em sau thiên tai.
[Video] World Vision hỗ trợ hơn 1.100 người dân Quảng Ngãi tiếp cận nước sạch bền vững
Triển khai từ tháng 5/2025, dự án Nước sạch, Vệ sinh cá nhân và Vệ sinh môi trường của Tổ chức World Vision International tại Việt Nam đang mang lại thay đổi tích cực cho trẻ em và người dân tại 7 thôn thuộc các xã Trà Bồng, Trà Tây và Thanh Bồng, tỉnh Quảng Ngãi.
[Video] Đồng tâm, dốc sức cứu trợ đồng bào vùng lũ
Những ngày qua, mưa lũ bất thường tại Khánh Hòa, Lâm Đồng, Gia Lai, Đắk Lắk đã để lại nhiều mất mát, đau thương. Trong gian khó, tinh thần “tương thân tương ái” một lần nữa được thắp lên, khi triệu triệu tấm lòng trên khắp cả nước cùng hướng về vùng lũ, chạy đua với thời gian để cứu trợ và sẻ chia.
[Video] Ấn Độ tặng Giải thưởng Hòa bình Romesh Chandra cho bà Nguyễn Thị Bình
Ngày 18/11 tại Hà Nội, Liên hiệp các tổ chức hữu nghị Việt Nam phối hợp Tổ chức Hòa bình và Đoàn kết toàn Ấn Độ (AIPSO) trao Giải thưởng Hòa bình Romesh Chandra cho nguyên Phó Chủ tịch nước Nguyễn Thị Bình nhằm ghi nhận những đóng góp nổi bật của bà đối với phong trào hòa bình và đoàn kết quốc tế.
[Video] Lễ dâng y Kathina tại Đà Nẵng: Sợi dây gắn kết Phật giáo các nước châu Á
Trong hai ngày 11-12/10 tại chùa Tam Bảo (thành phố Đà Nẵng) đã diễn ra lễ dâng y Kathina - lễ hội tâm linh quan trọng của Phật giáo Nam tông tại các quốc gia như Thái Lan, Myanmar, Campuchia, Lào, Sri Lanka và Việt Nam. Đây là nghi lễ mang đậm giá trị văn hóa tâm linh, thể hiện lòng tôn kính và tri ân sâu sắc của phật tử đối với chư tăng sau ba tháng an cư kiết hạ.
Cả nước hướng về Thái Nguyên: Chung tay giúp người dân vượt qua mưa lũ
Những ngày đầu tháng 10, tỉnh Thái Nguyên hứng chịu đợt mưa lớn kéo dài do ảnh hưởng liên tiếp của bão số 10 và bão số 11. Lũ lụt nghiêm trọng đã khiến nhiều khu dân cư bị ngập sâu, hàng nghìn hecta hoa màu chìm trong nước, gây thiệt hại nặng nề về người và tài sản. Giữa đêm mưa lũ, hàng trăm lời kêu cứu được đăng tải trên mạng xã hội, phản ánh tình trạng nguy cấp của nhiều hộ dân và cho thấy mức độ tàn phá khốc liệt của thiên tai.
Trailer lễ hội Văn hóa Thế giới tại Hà Nội lần thứ nhất
Từ ngày 10-12/10/2025, tại Hoàng thành Thăng Long, Bộ Văn hóa, Thể thao và Du lịch phối hợp với Bộ Ngoại giao và Ủy ban nhân dân thành phố Hà Nội tổ chức “Lễ hội Văn hóa Thế giới tại Hà Nội lần thứ nhất”. Đây là sự kiện văn hóa đối ngoại trọng điểm của Việt Nam trong năm 2025, mang ý nghĩa đặc biệt trong việc tôn vinh giá trị đa dạng của các nền văn hóa, tăng cường giao lưu nhân dân, thúc đẩy hiểu biết và tình hữu nghị giữa Việt Nam với bạn bè quốc tế.
[Video] Không khí rộn ràng ngày khai giảng năm học mới trên cả nước
Sáng 5/9, từ miền núi đến hải đảo, từ thành thị đến nông thôn, khắp nơi đều rợp sắc cờ hoa, rộn rã tiếng trống khai trường. Tiếng cười nói hân hoan của thầy trò hòa cùng nhịp trống rộn ràng, tạo nên không khí tưng bừng, náo nức trong ngày hội toàn dân đưa trẻ tới trường.










