Đề thi học kì 2 môn Toán lớp 12 năm 2019 Sở GD&ĐT Đà Nẵng
| Đề thi học kì 2 môn Toán lớp 12 năm 2019 trường THPT Việt Đức - Hà Nội Đề thi học kì 2 môn Toán lớp 12 năm 2019 trường THPT chuyên Nguyễn Huệ |
Đề thi học kì 2 môn Toán lớp 12 năm 2019 cùng với đề thi thử THPT quốc gia 2019 môn Toán là một trong những cách luyện tập của sĩ tử để chuẩn bị tốt cho kì thi quan trọng nhất thời học sinh.
Từ đầu tháng 4/2019, nhiều trường THPT chuyên và không chuyên, hệ GDTX trên cả nước đã tổ chức cho học sinh thi học kì 2 các môn. Kết quả của bài thi này vừa được lấy làm điểm hết môn, vừa là căn cứ để học sinh lớp 12 làm hồ sơ đăng kí dự thi THPT quốc gia và xét tuyển đại học, cao đẳng năm 2019.
![]() |
| Nhiều trường THPT đã tổ chức cho học sinh làm đề thi học kì 2 các môn năm học 2018 - 2019 |
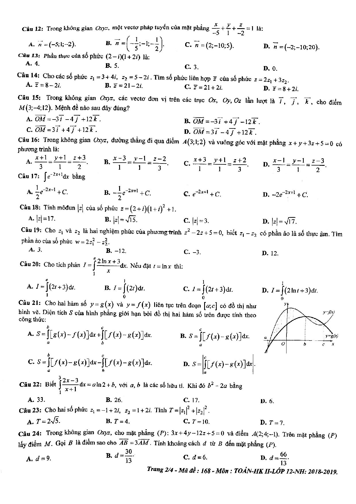
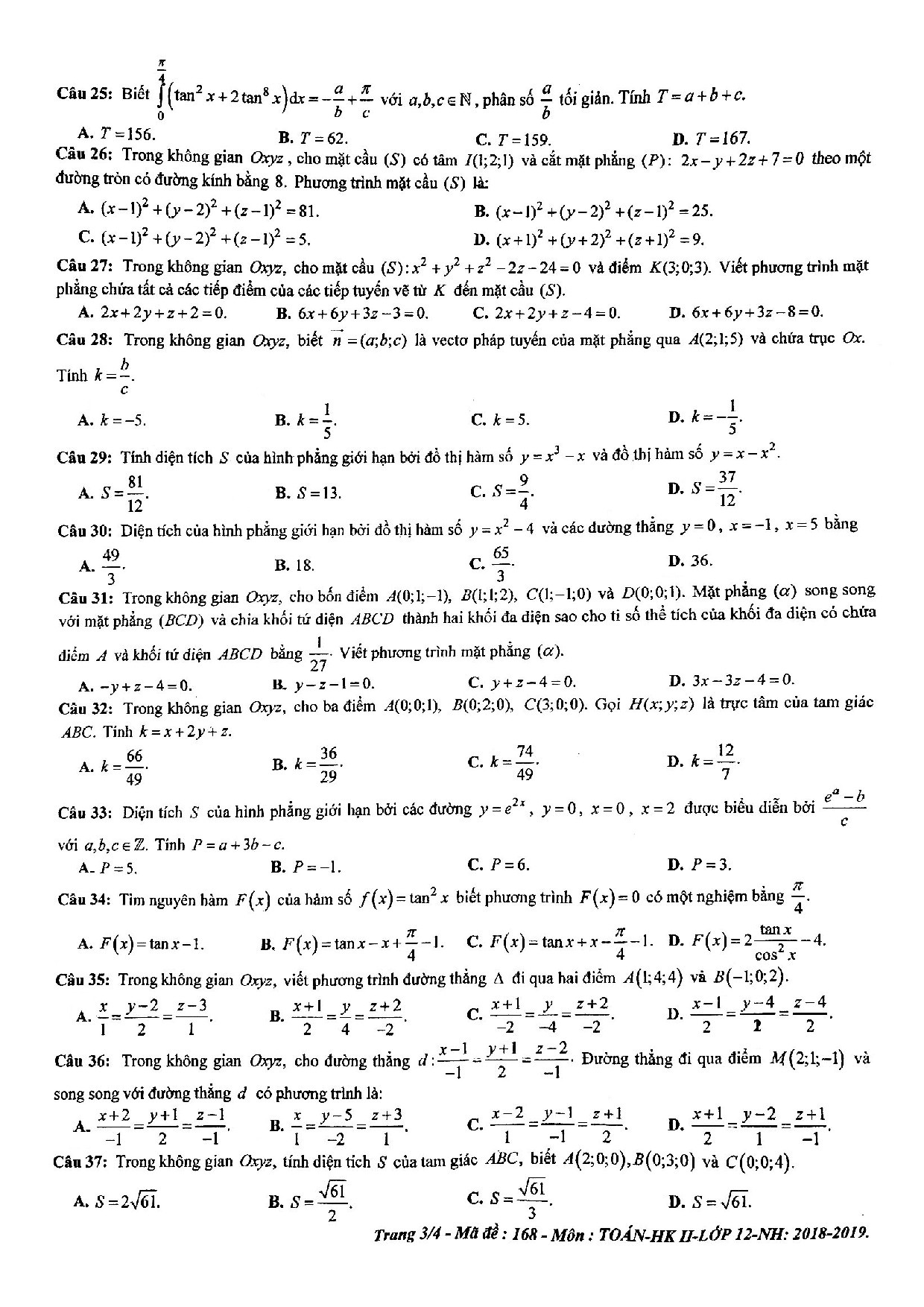
Mới đây, Sở GD&ĐT Đà Nẵng đã tổ chức cho học sinh làm Đề thi học kì 2 môn Toán lớp 12 năm học 2018 - 2019.
Đề thi học kì 2 môn Toán được thiết kế theo hình thức của đề minh họa thi THPT quốc gia 2019 của Bộ GD&ĐT. Cụ thể, đề gồm 50 câu hỏi trắc nghiệm khách quan, thí sinh làm bài trong thời gian 90 phút. Nội dung của đề thi bao gồm kiến thức lớp 10, 11 và 12.
Dưới đây là Đề thi học kì 2 môn Toán lớp 12 năm 2019 Sở GD&ĐT Đà Nẵng để các sĩ tử tham khảo:
![]() |
| Đề thi học kì 2 môn Toán lớp 12 năm 2019 Sở GD&ĐT Đà Nẵng. |
![]() |
![]() |
![]() |
Thí sinh tải file PDF đề thi học kì 2 môn Toán lớp 12 năm 2019 Sở GD&ĐT Đà Nẵng tại đây
Đề thi học kì 2 môn Toán lớp 12 là cơ hội để học sinh lớp 12 luyện tập các dạng câu hỏi, những kiến thức đã được học để biết được năng lực môn Toán của mình, chuẩn bị cho kỳ thi THPT quốc gia 2019.
Năm 2019, Bộ GD&ĐT không hạn chế số lượng nguyện vọng đăng kí dự thi, tuy nhiên theo các chuyên gia, thí sinh không nên đăng kí quá nhiều nguyện vọng, tránh gây "loãng" tâm lí.
Phương thức tổ chức các môn thi, bài thi trong kì thi THPT quốc gia 2019 tương đối giống với năm 2018. Nội dung của đề thi năm 2019 bao gồm tất cả chương trình THPT lớp 10, 11 và 12.
Chúc các sĩ tử ôn luyện kiến thức vững vàng và "cá chép hóa rồng" thành công trong kỳ thi THPT quốc gia 2019 sắp tới!
Tin bài liên quan
Thi tốt nghiệp THPT 2021: Đáp án môn Toán
Thi tốt nghiệp TPHT 2021: Đáp án 7 môn ngoại ngữ
Thi tốt nghiệp THPT 2021: Đáp án môn Sinh học
Các tin bài khác
Thời tiết hôm nay (8/4): Nắng nóng gay gắt bao trùm nhiều khu vực
Thời tiết hôm nay (02/4): Bắc Bộ có mưa, Nam Bộ nắng nóng
Thời tiết hôm nay (25/3): Tây Bắc Bộ nắng nóng, Hà Nội mưa rải rác
Thời tiết hôm nay (23/3): Bắc Bộ mưa vài nơi, trưa chiều trời nắng
Đọc nhiều
Lễ ký kết một số văn kiện hợp tác tiêu biểu giữa Việt Nam - Trung Quốc
Khởi động dự án "Hành lang Xanh" 4,4 triệu Euro bảo tồn biển miền Trung
Lưu học sinh Lào, Campuchia đón Tết cổ truyền tại Trường Hữu nghị 80
Tổng Bí thư, Chủ tịch nước Tô Lâm: Việt Nam-Trung Quốc thúc đẩy 3 kết nối
Bờ cõi biển đảo
Miền đất - Con người Cuộc sống vùng biên Nhịp sống biển đảo Lịch sử chủ quyền Giao lưu hữu nghị
Giữ chuẩn quốc gia giữa xã nghèo vùng cao Điện Biên
Đắk Lắk: Ngư dân ký cam kết chống khai thác IUU
Thực hiện khuyến nghị của EC, nhiều địa phương tăng tốc gỡ "thẻ vàng" IUU
[Video] Cử tri cả nước nô nức đi bầu cử đại biểu Quốc hội khóa XVI và HĐND các cấp
[VIDEO] Tinh thần dân chủ của nhân dân Việt Nam trong bầu cử
Tổ chức Giao lưu Quốc tế Việt Nam Nhật Bản (FAVIJA): thúc đẩy hữu nghị, hợp tác đa phương
[Video] Vũ điệu chúc xuân sôi động của Đại sứ Hà Lan tại Việt Nam
[Video] Đại sứ Lào tại Việt Nam tin tưởng Đại hội XIV sẽ tạo động lực mạnh mẽ cho Việt Nam phát triển toàn diện
[Video] WVIV thúc đẩy nông nghiệp tái sinh, nâng cao sinh kế cộng đồng tại Thanh Hóa
[Video] Plan International và Tỉnh Đoàn Quảng Trị xây dựng lực lượng thanh niên hành động vì khí hậu
[Video] 10 sự kiện văn hóa, thể thao và du lịch tiêu biểu năm 2025
Plan International Việt Nam hỗ trợ khẩn cấp hơn 1,8 tỷ đồng cho người dân Đà Nẵng sau bão
Vietnam Happy Fest 2025: Lan tỏa những giá trị hạnh phúc giữa lòng Hà Nội
[VIDEO] Tổ chức Cứu trợ Trẻ em tiếp sức trẻ em Bắc Ninh sớm quay về nhịp sống sau thiên tai
[Video] World Vision hỗ trợ hơn 1.100 người dân Quảng Ngãi tiếp cận nước sạch bền vững
[Video] Đồng tâm, dốc sức cứu trợ đồng bào vùng lũ
[Video] Ấn Độ tặng Giải thưởng Hòa bình Romesh Chandra cho bà Nguyễn Thị Bình









