Đề thi thử THPT quốc gia 2019 môn Toán có đáp án chi tiết Sở GD&ĐT Thanh Hóa
Đề thi thử THPT quốc gia 2019 là một trong những phương pháp giúp học sinh lớp 12 chuẩn bị kĩ càng hơn cho các kì thi khảo sát chất lượng và kì thi quan trọng nhất trong suốt 12 năm học.
Nhiều trường THPT, sở giáo dục và đào tạo tổ chức cho thí sinh thi thử để các em biết được năng lực hiện tại của bản thân. Từ đó có mục tiêu và lộ trình học tập, ôn luyện cụ thể để chuẩn bị tốt cho kì thi THPT quốc gia 2019.
Hiện nay đã là giai đoạn nước rút của việc làm hồ sơ dự thi THPT quốc gia 2019, nhưng có không ít thí sinh vẫn chưa biết mình nên đăng kí xét tuyển vào trường nào, ngành nào.
![]() |
| Học sinh nhiều trường THPT trên cả nước được làm các đề thi thử THPT quốc gia để làm hồ sơ đăng kí dự thi kì thi này. |
Theo hướng dẫn thi THPT quốc gia 2019 của Bộ GD&ĐT, từ 1 - 20/4 là thời gian để học sinh lớp 12 cả nước làm hồ sơ đăng kí dự thi THPT quốc gia 2019 và xét tuyển vào đại học, cao đẳng. Sau khi biết điểm thi THPT quốc gia 2019, thí sinh có 1 tuần để điều chỉnh nguyện vọng xét tuyển.
Bởi vậy, đây đồng thời là khoảng thời gian quan trọng để thí sinh lựa chọn, sắp xếp nguyện vọng xét tuyển sao cho hợp lý nhất để trúng tuyển vào ngành học mình thích.
Năm 2019, Bộ GD&ĐT không hạn chế số lượng nguyện vọng đăng kí dự thi, tuy nhiên theo các chuyên gia, thí sinh không nên đăng kí quá nhiều nguyện vọng, tránh gây "loãng" tâm lí.
Phương thức tổ chức các môn thi, bài thi trong kì thi THPT quốc gia 2019 tương đối giống với năm 2018. Nội dung của đề thi năm 2019 bao gồm tất cả chương trình THPT lớp 10, 11 và 12.
Trong đó, đối với môn Toán, thí sinh sẽ làm bài thi dưới dạng trắc nghiệm khách quan. Đề thi gồm 50 câu hỏi, thời gian làm bài của thí sinh là 90 phút.
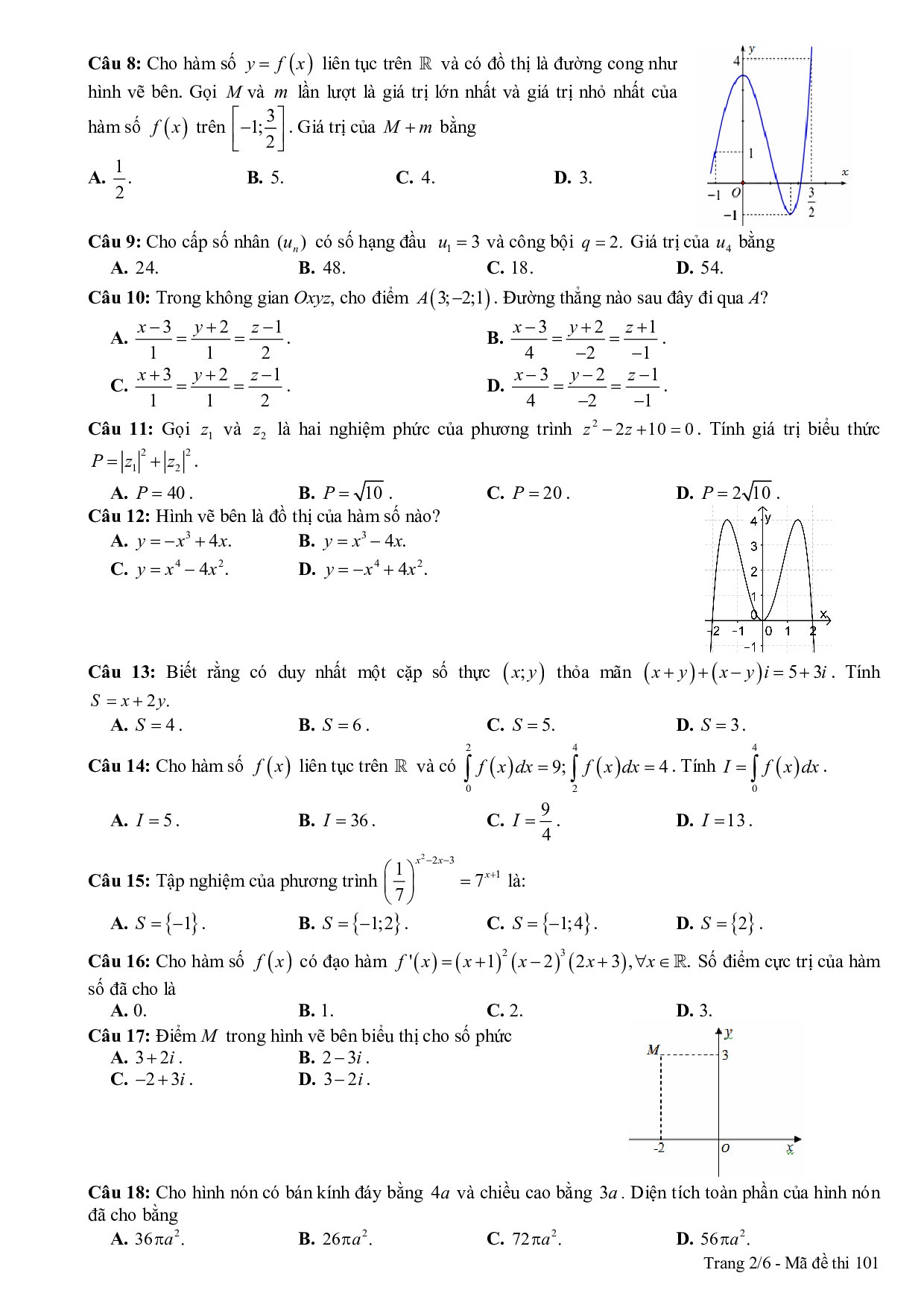
Dưới đây là đề thi thử THPT quốc gia năm 2019 môn Toán Sở GD&ĐT Thanh Hóa:
![]() |
| Đề thi thử THPT quốc gia 2019 môn Toán Sở GD&ĐT Thanh Hóa. |
![]() |
![]() |
![]() |
![]() |
![]() |
| Đề thi thử THPT quốc gia 2019 môn Toán Sở GD&ĐT Thanh Hóa |
Dưới đây là đáp án Đề thi thử THPT quốc gia 2019 môn Toán Sở GD&ĐT Thanh Hóa cho tất cả các mã đề:
![]() |
Thí sinh tham khảo lời giải chi tiết đề thi thử THPT quốc gia 2019 môn Toán Sở GD&ĐT Thanh Hóa tại đây
Đề thi thử THPT quốc gia 2019 môn Toán là cơ hội để học sinh lớp 12 luyện tập các dạng câu hỏi, những kiến thức đã được học để biết được năng lực môn Toán của mình, chuẩn bị cho kỳ thi THPT quốc gia 2019.
Các nhà trường và học sinh sử dụng tài liệu hướng dẫn ôn tập của Bộ Giáo dục và Đào tạo kết hợp với các đề thi minh họa, đề thi thử THPT quốc gia 2019 làm tài liệu tham khảo để dạy học và ôn tập trong năm học 2018 - 2019, chuẩn bị tốt cho kì thi THPT quốc gia năm 2019.
Chúc các sĩ tử ôn luyện kiến thức vững vàng và "cá chép hóa rồng" thành công trong kỳ thi THPT quốc gia 2019 sắp tới!
Trường THPT chuyên Quốc học Huế đã tổ chức cho tất cả học sinh lớp 12 thi thử THPT quốc gia 2019. Dưới đây là ... |
Trường THPT chuyên Bắc Giang đã tổ chức cho tất cả học sinh lớp 12 thi thử THPT quốc gia 2019. Dưới đây là đề ... |
Trường THPT chuyên Thái Bình vừa tiếp tục tổ chức cho học sinh lớp 12 thi thử THPT quốc gia 2019 các môn. Dưới đây ... |
Học sinh tham khảo đề thi thử THPT quốc gia 2019 môn Toán lần 1 của trường THPT chuyên Thái Bình có lời giải chi tiết ... |
Sở GD&ĐT Bạc Liêu đã tổ chức cho tất cả học sinh lớp 12 trên địa bàn tỉnh thi thử THPT quốc gia 2019. Dưới ... |
Tin cùng chủ đề: Đề thi thử THPT Quốc gia 2019 môn Toán kèm đáp án
Tin bài liên quan
Gợi ý đáp án đề thi tuyển sinh lớp 10 môn Văn Sở GD&ĐT Thanh Hóa 2019
Gợi ý đáp án đề thi tuyển sinh lớp 10 môn Toán Sở GD&ĐT Thanh Hóa 2019
Đề thi thử THPT quốc gia 2019 môn Toán có đáp án Sở GD&ĐT Quảng Bình
Các tin bài khác
Thời tiết hôm nay (19/3): Miền Bắc sương mù bao phủ, trưa và chiều hửng nắng
Thời tiết hôm nay (17/3): Hà Nội lạnh về sáng sớm và đêm
Dự báo thời tiết các khu vực trên cả nước dịp bầu cử đại biểu Quốc hội khóa XVI
Thời tiết hôm nay (11/3): Miền Bắc rét về đêm và sáng, ngày nắng
Đọc nhiều
“Em yêu tiếng Việt” tại Luang Prabang: Vun đắp hữu nghị Việt Nam – Lào
Trồng cây hữu nghị tại Cần Thơ
Nhà giàn DK1/11 hỗ trợ cấp cứu ngư dân bị nạn
Tìm kiếm Sứ giả tiếng Việt ở nước ngoài
Bờ cõi biển đảo
Miền đất - Con người Cuộc sống vùng biên Nhịp sống biển đảo Lịch sử chủ quyền Giao lưu hữu nghị
Nhà giàn DK1/11 hỗ trợ cấp cứu ngư dân bị nạn
Tập trung khắc phục khuyến nghị của EC về chống khai thác IUU
Vùng 5 Hải quân cấp 40.000 lít nước ngọt cho người dân đảo Hòn Chuối
[Video] Cử tri cả nước nô nức đi bầu cử đại biểu Quốc hội khóa XVI và HĐND các cấp
[VIDEO] Tinh thần dân chủ của nhân dân Việt Nam trong bầu cử
Tổ chức Giao lưu Quốc tế Việt Nam Nhật Bản (FAVIJA): thúc đẩy hữu nghị, hợp tác đa phương
[Video] Vũ điệu chúc xuân sôi động của Đại sứ Hà Lan tại Việt Nam
[Video] Đại sứ Lào tại Việt Nam tin tưởng Đại hội XIV sẽ tạo động lực mạnh mẽ cho Việt Nam phát triển toàn diện
[Video] WVIV thúc đẩy nông nghiệp tái sinh, nâng cao sinh kế cộng đồng tại Thanh Hóa
[Video] Plan International và Tỉnh Đoàn Quảng Trị xây dựng lực lượng thanh niên hành động vì khí hậu
[Video] 10 sự kiện văn hóa, thể thao và du lịch tiêu biểu năm 2025
Plan International Việt Nam hỗ trợ khẩn cấp hơn 1,8 tỷ đồng cho người dân Đà Nẵng sau bão
Vietnam Happy Fest 2025: Lan tỏa những giá trị hạnh phúc giữa lòng Hà Nội
[VIDEO] Tổ chức Cứu trợ Trẻ em tiếp sức trẻ em Bắc Ninh sớm quay về nhịp sống sau thiên tai
[Video] World Vision hỗ trợ hơn 1.100 người dân Quảng Ngãi tiếp cận nước sạch bền vững
[Video] Đồng tâm, dốc sức cứu trợ đồng bào vùng lũ
[Video] Ấn Độ tặng Giải thưởng Hòa bình Romesh Chandra cho bà Nguyễn Thị Bình












