Đề thi thử THPT quốc gia 2019 môn Toán có đáp án THPT chuyên Trần Phú
| Đề thi thử THPT quốc gia 2019 môn Toán có đáp án Sở GD&ĐT Bình Thuận Đề thi thử THPT quốc gia 2019 môn Toán có đáp án THPT chuyên Lam Sơn Đề thi thử THPT quốc gia 2019 môn Toán THPT Chu Văn An |
Đề thi thử THPT quốc gia 2019 môn Toán có đáp án là cách ôn luyện hiệu quả của học sinh lớp 12 để chuẩn bị kĩ càng cho môn thi này trong kì thi THPT quốc gia 2019.
![]() |
| Các trường THPT tổ chức cho học sinh làm đề thi thử để sẵn sàng hơn cho kì thi quốc gia sắp tới. |
Nhận thấy được hiệu quả của phương pháp ôn tập này, nhiều sở giáo dục và đào tạo, các trường THPT đã tổ chức cho học sinh lớp 12 thi thử nhiều lần trong năm học. Qua các lần thi thử này, sĩ tử nắm được năng lực thực của bản thân, từ đó điều chỉnh lộ trình học tập phù hợp để đạt được mục tiêu đề ra.
Đề thi thử THPT quốc gia 2019 của các sở giáo dục, trường THPT được thiết kế theo đề minh họa của Bộ Giáo dục và Đào tạo. Nội dung các câu hỏi chủ yếu là kiến thức lớp 12. Trong đó, môn Toán - một trong những môn bắt buộc được làm dưới hình thức trắc nghiệm khách quan.
Đề thi thử THPT quốc gia 2019 môn Toán bao gồm 50 câu hỏi trắc nghiệm, thí sinh hoàn thành trong 90 phút bằng cách tô đáp án mình chọn vào phiếu trả lời trắc nghiệm.
Dưới đây là đề thi thử THPT quốc gia 2019 môn Toán có đáp án trường THPT chuyên Trần Phú - Hải Phòng:
![]() |
| Đề thi thử THPT quốc gia 2019 môn Toán có đáp án THPT chuyên Trần Phú |
![]() |
![]() |
![]() |
![]() |
![]() |
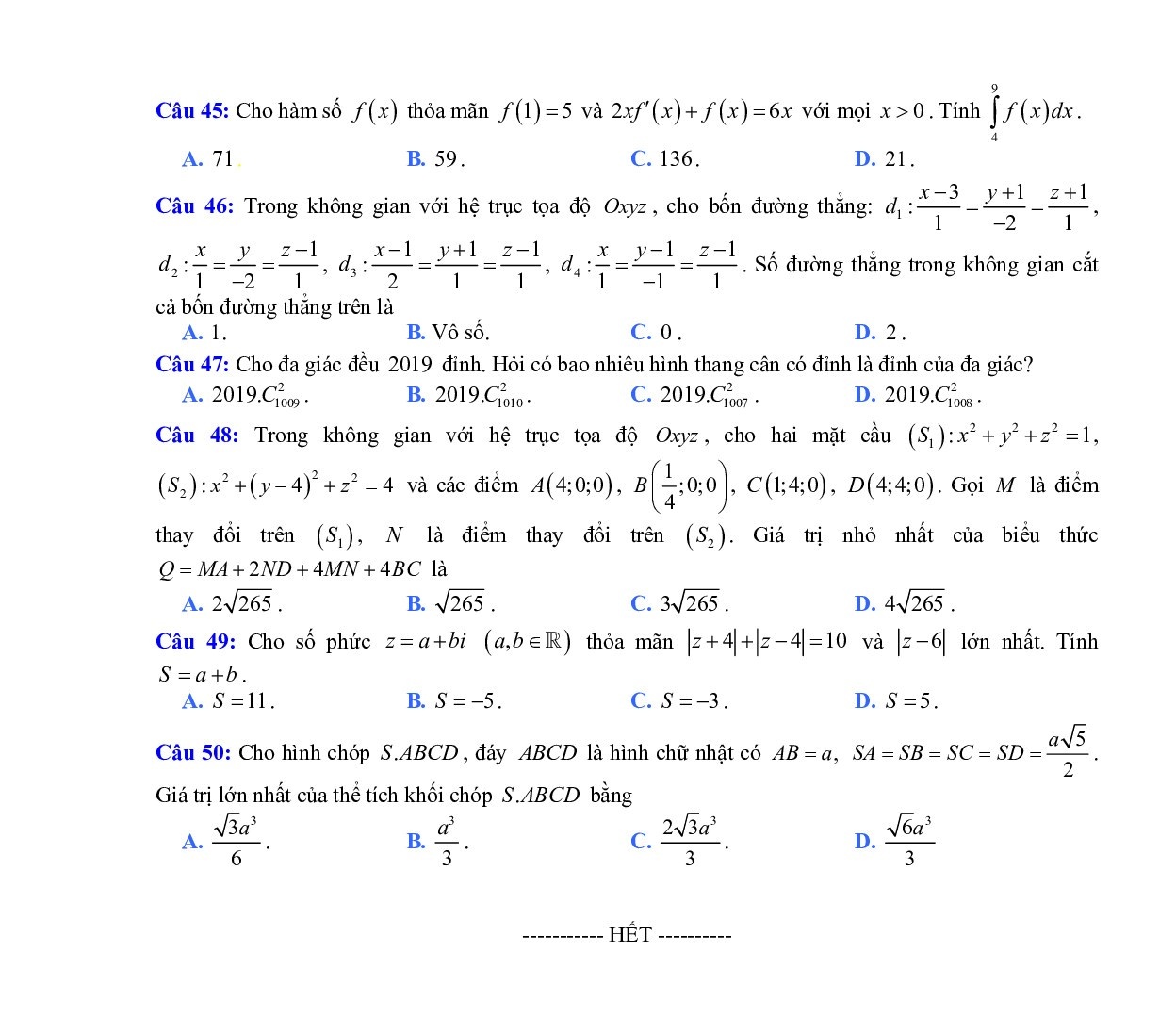
| Đề thi thử THPT quốc gia 2019 môn Toán có đáp án THPT chuyên Trần Phú |
Dưới đây là đáp án đề thi thử môn Toán này:
![]() |
| Đáp án Đề thi thử THPT quốc gia 2019 môn Toán THPT chuyên Trần Phú |
Thí sinh tải PDF đề thi thử THPT quốc gia 2019 môn Toán trường THPT chuyên Trần Phú tại đây
Đề thi thử THPT quốc gia 2019 môn Toán có đáp án là cơ hội để học sinh lớp 12 luyện tập các dạng câu hỏi, những kiến thức đã được học để biết được năng lực môn Toán của mình, chuẩn bị cho kỳ thi THPT quốc gia 2019.
Chúc các sĩ tử ôn luyện kiến thức vững vàng và "cá chép hóa rồng" thành công trong kỳ thi THPT quốc gia 2019 sắp tới!
Tin cùng chủ đề: Đề thi thử THPT Quốc gia 2019 môn Toán kèm đáp án
Tin bài liên quan
Hải Phòng: Chuỗi hoạt động chăm lo cho đoàn viên, người lao động tại Chợ Tết Công đoàn
Hải Phòng tăng cường kết nối Việt Nam - Thái Lan qua giao lưu nhân dân
Khi công đoàn đóng vai trò cầu nối việc làm cho người lao động
Các tin bài khác
Thời tiết hôm nay (02/4): Bắc Bộ có mưa, Nam Bộ nắng nóng
Thời tiết hôm nay (25/3): Tây Bắc Bộ nắng nóng, Hà Nội mưa rải rác
Thời tiết hôm nay (23/3): Bắc Bộ mưa vài nơi, trưa chiều trời nắng
Thời tiết hôm nay (19/3): Miền Bắc sương mù bao phủ, trưa và chiều hửng nắng
Đọc nhiều
Duy trì mạch kết nối nhân dân Việt Nam – Slovakia
Sắc màu Tết cổ truyền Campuchia - Lào - Thái Lan rực rỡ tại thành phố Hồ Chí Minh
Sôi động giải bóng đá người Việt tại Nhật hướng về Trường Sa
Phát huy vai trò doanh nghiệp trong quan hệ hữu nghị Việt Nam - Campuchia
Bờ cõi biển đảo
Miền đất - Con người Cuộc sống vùng biên Nhịp sống biển đảo Lịch sử chủ quyền Giao lưu hữu nghị
Thực hiện khuyến nghị của EC, nhiều địa phương tăng tốc gỡ "thẻ vàng" IUU
Điện Biên phát động trồng mới cây cà phê, mắc ca tại 42 xã, phường
Tàu hộ vệ Asahi Nhật Bản thăm hữu nghị Đà Nẵng
[Video] Cử tri cả nước nô nức đi bầu cử đại biểu Quốc hội khóa XVI và HĐND các cấp
[VIDEO] Tinh thần dân chủ của nhân dân Việt Nam trong bầu cử
Tổ chức Giao lưu Quốc tế Việt Nam Nhật Bản (FAVIJA): thúc đẩy hữu nghị, hợp tác đa phương
[Video] Vũ điệu chúc xuân sôi động của Đại sứ Hà Lan tại Việt Nam
[Video] Đại sứ Lào tại Việt Nam tin tưởng Đại hội XIV sẽ tạo động lực mạnh mẽ cho Việt Nam phát triển toàn diện
[Video] WVIV thúc đẩy nông nghiệp tái sinh, nâng cao sinh kế cộng đồng tại Thanh Hóa
[Video] Plan International và Tỉnh Đoàn Quảng Trị xây dựng lực lượng thanh niên hành động vì khí hậu
[Video] 10 sự kiện văn hóa, thể thao và du lịch tiêu biểu năm 2025
Plan International Việt Nam hỗ trợ khẩn cấp hơn 1,8 tỷ đồng cho người dân Đà Nẵng sau bão
Vietnam Happy Fest 2025: Lan tỏa những giá trị hạnh phúc giữa lòng Hà Nội
[VIDEO] Tổ chức Cứu trợ Trẻ em tiếp sức trẻ em Bắc Ninh sớm quay về nhịp sống sau thiên tai
[Video] World Vision hỗ trợ hơn 1.100 người dân Quảng Ngãi tiếp cận nước sạch bền vững
[Video] Đồng tâm, dốc sức cứu trợ đồng bào vùng lũ
[Video] Ấn Độ tặng Giải thưởng Hòa bình Romesh Chandra cho bà Nguyễn Thị Bình












