Đề thi thử THPT quốc gia 2019 môn Toán lần 3 THPT chuyên Vĩnh Phúc và đáp án
| Hà Nội: Thí sinh rạng rỡ sau buổi thi thử môn Ngữ văn THPT quốc gia 2019 Hơn 100.000 học sinh Hà Nội thi thử THPT quốc gia 2019 |
Đề thi thử THPT quốc gia 2019 là một trong những phương pháp giúp học sinh lớp 12 chuẩn bị kĩ càng hơn cho các kì thi khảo sát chất lượng và kì thi quan trọng nhất trong suốt 12 năm học.
![]() |
| Nhiều trường THPT tổ chức cho học sinh làm đề thi thử THPT quốc gia 2019. |
Theo Bộ GD&ĐT, phương thức tổ chức các môn thi, bài thi của kì thi THPT quốc gia 2019 tương đối giống với năm 2018. Nội dung của đề thi năm 2019 bao gồm tất cả chương trình THPT lớp 10, 11 và 12.
Trong đó, đối với môn Toán, thí sinh sẽ làm bài thi dưới dạng trắc nghiệm khách quan. Đề thi gồm 50 câu hỏi, thời gian làm bài của thí sinh là 90 phút.
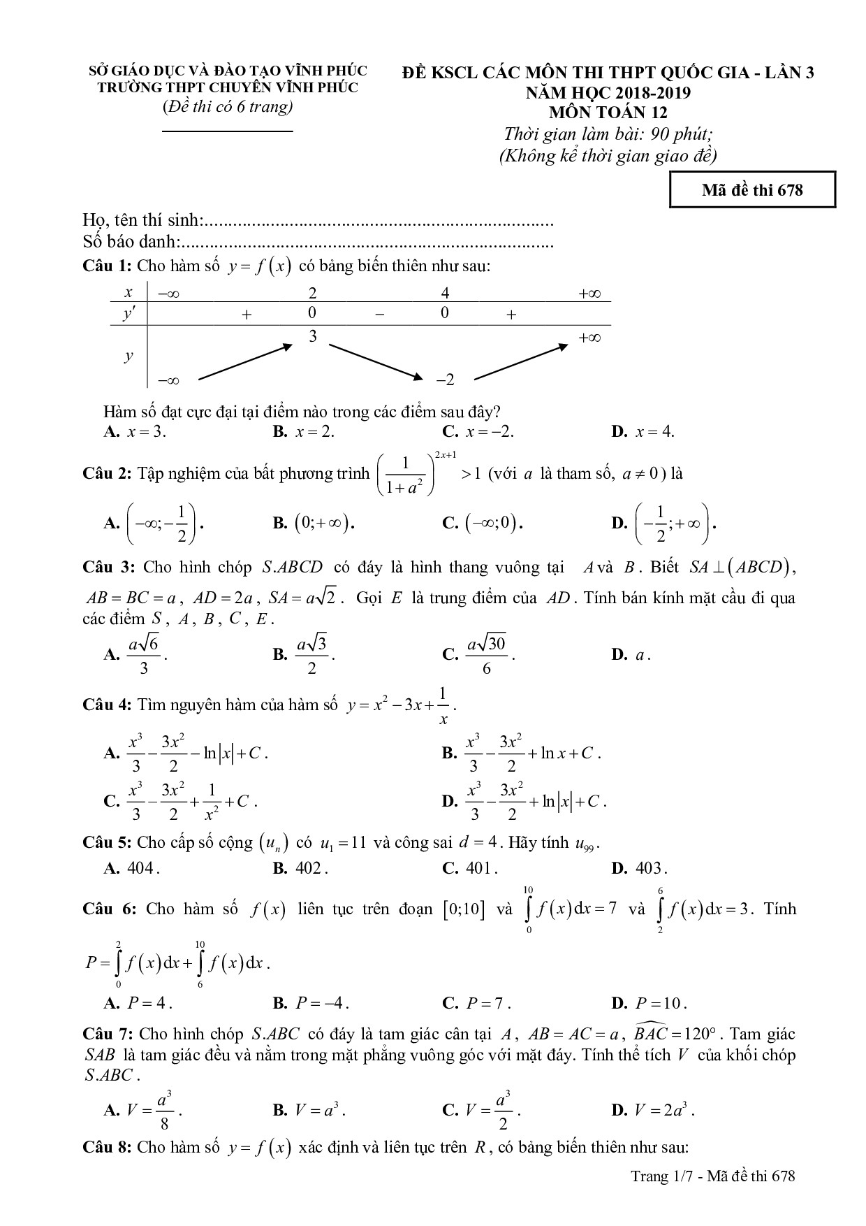
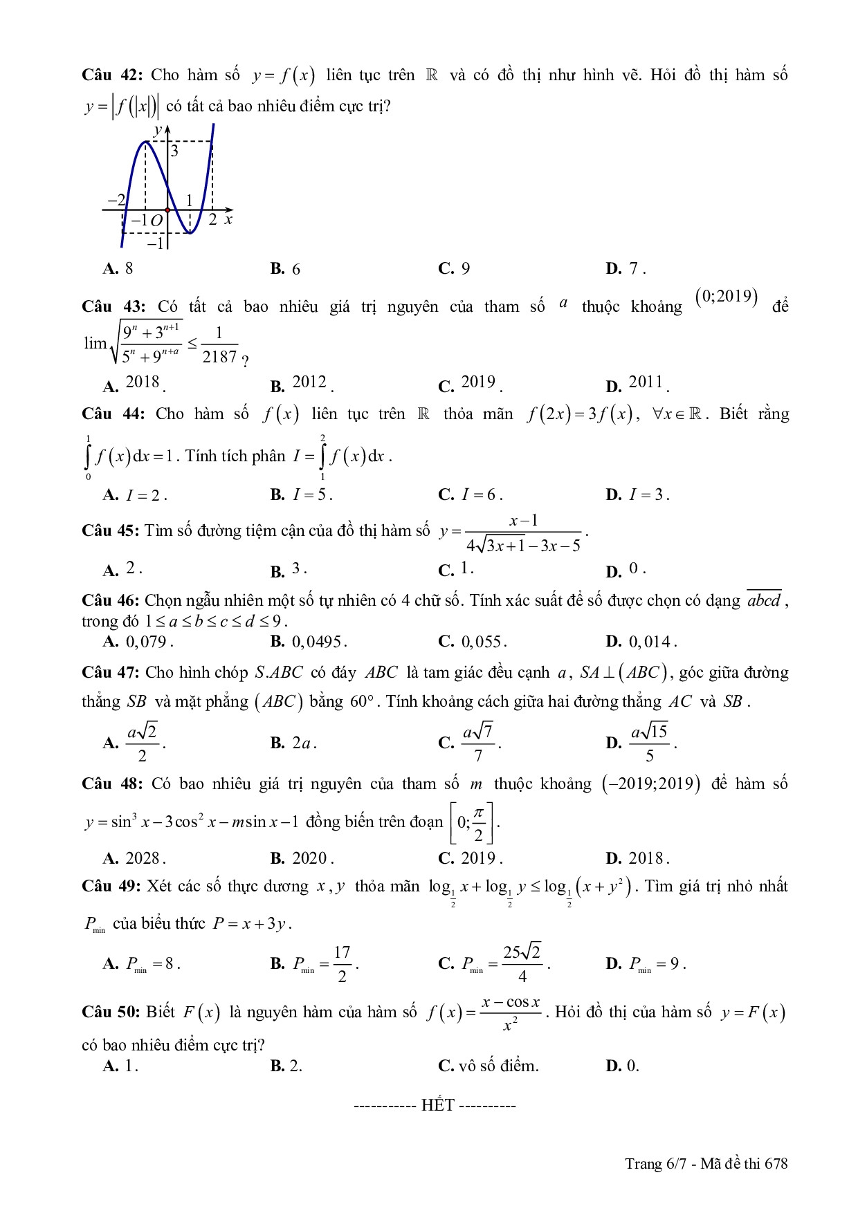
Dưới đây là đề thi thử THPT quốc gia năm 2019 môn Toán lần 3 THPT chuyên Vĩnh Phúc:
![]() |
| Đề thi thử THPT quốc gia 2019 môn Toán lần 3 THPT chuyên Vĩnh Phúc. |
![]() |
![]() |
![]() |
![]() |
![]() |
| Đề thi thử THPT quốc gia 2019 môn Toán lần 3 THPT chuyên Vĩnh Phúc. |
Dưới đây là đáp án của 50 câu hỏi trong đề thi thử THPT quốc gia môn Toán lần 3 trường THPT chuyên Vĩnh Phúc.
![]() |
| Đáp án chi tiết đề thi thử THPT quốc gia 2019 môn Toán lần 3 THPT chuyên Vĩnh Phúc. |
Đề thi thử THPT quốc gia 2019 môn Toán là cơ hội để học sinh lớp 12 luyện tập các dạng câu hỏi, những kiến thức đã được học để biết được năng lực môn Toán của mình, chuẩn bị cho kỳ thi THPT quốc gia 2019.
Các nhà trường và học sinh sử dụng tài liệu hướng dẫn ôn tập của Bộ Giáo dục và Đào tạo kết hợp với các đề thi minh họa, đề thi thử THPT quốc gia 2019 làm tài liệu tham khảo để dạy học và ôn tập trong năm học 2018 - 2019, chuẩn bị tốt cho kì thi THPT quốc gia năm 2019.
Chúc các sĩ tử ôn luyện kiến thức vững vàng và "cá chép hóa rồng" thành công trong kỳ thi THPT quốc gia 2019 sắp tới!
Tin cùng chủ đề: Đề thi thử THPT Quốc gia 2019 môn Toán kèm đáp án
Tin bài liên quan
Đề thi thử THPT quốc gia 2019 môn Toán lần 5 THPT chuyên Thái Bình
Đề thi thử THPT quốc gia 2019 môn Toán có đáp án Sở GD&ĐT Phú Thọ
Đáp án đề thi thử THPT quốc gia 2019 môn Toán Sở GD&ĐT Cao Bằng
Các tin bài khác
Dự báo thời tiết các khu vực trên cả nước dịp bầu cử đại biểu Quốc hội khóa XVI
Thời tiết hôm nay (11/3): Miền Bắc rét về đêm và sáng, ngày nắng
39 suất học bổng toàn phần tại New Zealand
Quy định mới về tổ chức thi đánh giá năng lực ngoại ngữ và năng lực tiếng Việt
Đọc nhiều
Ngày hội non sông và trọng trách trước Nhân dân
Dự án GoRice do Chính phủ Canada viện trợ: nâng cao phúc lợi cho nông dân sản xuất lúa gạo tại 7 xã ở Cần Thơ
Tự do tôn giáo ở Việt Nam - Những con số không biết dối lừa
Cơ quan đại diện ở nước ngoài phải “mở đường,” không chỉ “đưa tin”
Bờ cõi biển đảo
Miền đất - Con người Cuộc sống vùng biên Nhịp sống biển đảo Lịch sử chủ quyền Giao lưu hữu nghị
Tàu 016 - Quang Trung sẵn sàng tham gia diễn tập hải quân đa phương Kakadu 2026 tại Úc
Giao lưu hữu nghị quốc phòng biên giới Việt Nam - Trung Quốc lần thứ 10
Bệnh xá đảo Song Tử Tây, đặc khu Trường Sa cấp cứu kịp thời ngư dân bị giảm áp do lặn sâu
[Video] Cử tri cả nước nô nức đi bầu cử đại biểu Quốc hội khóa XVI và HĐND các cấp
[VIDEO] Tinh thần dân chủ của nhân dân Việt Nam trong bầu cử
Tổ chức Giao lưu Quốc tế Việt Nam Nhật Bản (FAVIJA): thúc đẩy hữu nghị, hợp tác đa phương
[Video] Vũ điệu chúc xuân sôi động của Đại sứ Hà Lan tại Việt Nam
[Video] Đại sứ Lào tại Việt Nam tin tưởng Đại hội XIV sẽ tạo động lực mạnh mẽ cho Việt Nam phát triển toàn diện
[Video] WVIV thúc đẩy nông nghiệp tái sinh, nâng cao sinh kế cộng đồng tại Thanh Hóa
[Video] Plan International và Tỉnh Đoàn Quảng Trị xây dựng lực lượng thanh niên hành động vì khí hậu
[Video] 10 sự kiện văn hóa, thể thao và du lịch tiêu biểu năm 2025
Plan International Việt Nam hỗ trợ khẩn cấp hơn 1,8 tỷ đồng cho người dân Đà Nẵng sau bão
Vietnam Happy Fest 2025: Lan tỏa những giá trị hạnh phúc giữa lòng Hà Nội
[VIDEO] Tổ chức Cứu trợ Trẻ em tiếp sức trẻ em Bắc Ninh sớm quay về nhịp sống sau thiên tai
[Video] World Vision hỗ trợ hơn 1.100 người dân Quảng Ngãi tiếp cận nước sạch bền vững
[Video] Đồng tâm, dốc sức cứu trợ đồng bào vùng lũ
[Video] Ấn Độ tặng Giải thưởng Hòa bình Romesh Chandra cho bà Nguyễn Thị Bình













