Đề thi thử THPT quốc gia 2019 môn Toán Sở GD&ĐT Đà Nẵng
Làm Đề thi thử THPT quốc gia 2019 là cách ôn luyện hiệu quả của học sinh lớp 12 để chuẩn bị kĩ càng cho kì thi THPT quốc gia 2019.
![]() |
| Học sinh làm đề thi thử THPT quốc gia nhiều lần để ôn luyện kĩ cho kì thi THPT quốc gia 2019. |
Nhận thấy được hiệu quả của phương pháp ôn tập này, nhiều sở giáo dục và đào tạo, các trường THPT đã tổ chức cho học sinh lớp 12 thi thử nhiều lần trong năm học. Qua các lần thi thử này, sĩ tử nắm được năng lực thực của bản thân, từ đó điều chỉnh lộ trình học tập phù hợp để đạt được mục tiêu đề ra.
Đề thi thử THPT quốc gia 2019 của các sở giáo dục, trường THPT được thiết kế theo đề minh họa của Bộ Giáo dục và Đào tạo. Nội dung các câu hỏi xoay quanh kiến thức lớp 10, 11 và 12. Trong đó, môn Toán - một trong những môn bắt buộc được làm dưới hình thức trắc nghiệm khách quan.
Đề thi thử THPT quốc gia 2019 môn Toán bao gồm 50 câu hỏi trắc nghiệm, thí sinh hoàn thành trong 90 phút bằng cách tô đáp án mình chọn vào phiếu trả lời trắc nghiệm.
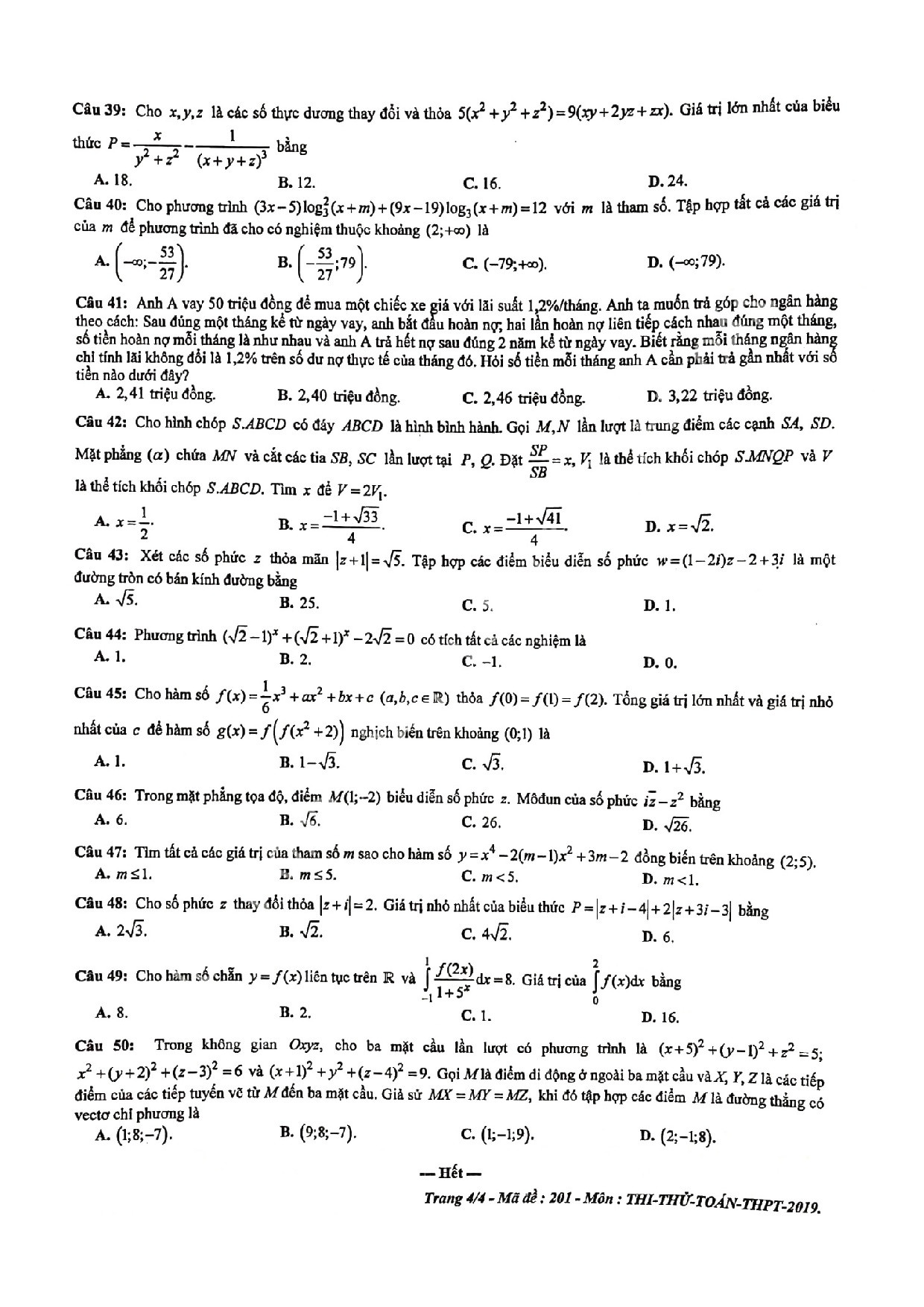
Dưới đây là đề thi thử THPT quốc gia 2019 môn Toán Sở GD&ĐT Đà Nẵng mà học sinh lớp 12 địa phương này vừa làm:
![]() |
| Đề thi thử THPT quốc gia 2019 môn Toán Sở GD&ĐT Đà Nẵng |
![]() |
![]() |
![]() |
Thí sinh tải PDF đề thi thử THPT quốc gia 2019 môn Toán Sở GD&ĐT Đà Nẵng tại đây
Đề thi thử THPT quốc gia 2019 môn Toán là cơ hội để học sinh lớp 12 luyện tập các dạng câu hỏi, những kiến thức đã được học để biết được năng lực môn Toán của mình, chuẩn bị cho kỳ thi THPT quốc gia 2019.
Chúc các sĩ tử ôn luyện kiến thức vững vàng và "cá chép hóa rồng" thành công trong kỳ thi THPT quốc gia 2019 sắp tới!
Tin cùng chủ đề: Đề thi thử THPT Quốc gia 2019 môn Toán kèm đáp án
Tin bài liên quan
Gợi ý đáp án đề thi tuyển sinh lớp 10 môn Văn Sở GD&ĐT Đà Nẵng năm 2019
Đề thi thử THPT quốc gia 2019 môn Toán có đáp án Sở GD&ĐT Quảng Bình
Đề thi thử THPT quốc gia 2019 môn Văn Sở GD&ĐT Bình Thuận
Các tin bài khác
Thời tiết hôm nay (8/4): Nắng nóng gay gắt bao trùm nhiều khu vực
Thời tiết hôm nay (02/4): Bắc Bộ có mưa, Nam Bộ nắng nóng
Thời tiết hôm nay (25/3): Tây Bắc Bộ nắng nóng, Hà Nội mưa rải rác
Thời tiết hôm nay (23/3): Bắc Bộ mưa vài nơi, trưa chiều trời nắng
Đọc nhiều
Lễ ký kết một số văn kiện hợp tác tiêu biểu giữa Việt Nam - Trung Quốc
Khởi động dự án "Hành lang Xanh" 4,4 triệu Euro bảo tồn biển miền Trung
Lưu học sinh Lào, Campuchia đón Tết cổ truyền tại Trường Hữu nghị 80
Tổng Bí thư, Chủ tịch nước Tô Lâm: Việt Nam-Trung Quốc thúc đẩy 3 kết nối
Bờ cõi biển đảo
Miền đất - Con người Cuộc sống vùng biên Nhịp sống biển đảo Lịch sử chủ quyền Giao lưu hữu nghị
Giữ chuẩn quốc gia giữa xã nghèo vùng cao Điện Biên
Đắk Lắk: Ngư dân ký cam kết chống khai thác IUU
Thực hiện khuyến nghị của EC, nhiều địa phương tăng tốc gỡ "thẻ vàng" IUU
[Video] Cử tri cả nước nô nức đi bầu cử đại biểu Quốc hội khóa XVI và HĐND các cấp
[VIDEO] Tinh thần dân chủ của nhân dân Việt Nam trong bầu cử
Tổ chức Giao lưu Quốc tế Việt Nam Nhật Bản (FAVIJA): thúc đẩy hữu nghị, hợp tác đa phương
[Video] Vũ điệu chúc xuân sôi động của Đại sứ Hà Lan tại Việt Nam
[Video] Đại sứ Lào tại Việt Nam tin tưởng Đại hội XIV sẽ tạo động lực mạnh mẽ cho Việt Nam phát triển toàn diện
[Video] WVIV thúc đẩy nông nghiệp tái sinh, nâng cao sinh kế cộng đồng tại Thanh Hóa
[Video] Plan International và Tỉnh Đoàn Quảng Trị xây dựng lực lượng thanh niên hành động vì khí hậu
[Video] 10 sự kiện văn hóa, thể thao và du lịch tiêu biểu năm 2025
Plan International Việt Nam hỗ trợ khẩn cấp hơn 1,8 tỷ đồng cho người dân Đà Nẵng sau bão
Vietnam Happy Fest 2025: Lan tỏa những giá trị hạnh phúc giữa lòng Hà Nội
[VIDEO] Tổ chức Cứu trợ Trẻ em tiếp sức trẻ em Bắc Ninh sớm quay về nhịp sống sau thiên tai
[Video] World Vision hỗ trợ hơn 1.100 người dân Quảng Ngãi tiếp cận nước sạch bền vững
[Video] Đồng tâm, dốc sức cứu trợ đồng bào vùng lũ
[Video] Ấn Độ tặng Giải thưởng Hòa bình Romesh Chandra cho bà Nguyễn Thị Bình









