Đề thi thử THPT quốc gia 2019 môn Toán THPT chuyên Sơn La
Đề thi thử THPT quốc gia 2019 là một trong những phương pháp giúp học sinh lớp 12 chuẩn bị kĩ càng hơn cho các kì thi khảo sát chất lượng và kì thi quan trọng nhất trong suốt 12 năm học.
Nhiều trường THPT, sở giáo dục và đào tạo tổ chức cho thí sinh thi thử để các em biết được năng lực hiện tại của bản thân. Từ đó có mục tiêu và lộ trình học tập, ôn luyện cụ thể để chuẩn bị tốt cho kì thi THPT quốc gia 2019.
Thí sinh cả nước vừa kết thúc khoảng thời gian làm hồ sơ đăng kí dự thi THPT quốc gia 2019 sau khi đã có những cân nhắc để sắp xếp thứ tự nguyện vọng. Từ 20 - 25/4 là thời gian để thí sinh bổ sung, chỉnh sửa những thông tin sai sót trong hồ sơ của mình trước khi cập nhật lên hệ thống quản lý của Bộ GD&ĐT.
![]() |
| Học sinh nhiều trường THPT trên cả nước được làm các đề thi thử để sẵn sàng cho kì thi THPT quốc gia 2019. |
Thí sinh có thể bổ sung, sửa những thông tin sai sót trong hồ sơ đăng kí dự thi THPT quốc gia 2019 bằng cách trực tuyến thông qua việc đăng nhập vào trang tuyển sinh của Bộ GD&ĐT.
Sau khi Bộ GD&ĐT công bố điểm thi THPT quốc gia 2019, thí sinh có 1 tuần để điều chỉnh nguyện vọng. Năm 2019, thí sinh chỉ được phép điều chỉnh nguyện vọng xét tuyển duy nhất 1 lần.
Theo Bộ GD&ĐT, phương thức tổ chức các môn thi, bài thi của kì thi THPT quốc gia 2019 tương đối giống với năm 2018. Nội dung của đề thi năm 2019 bao gồm tất cả chương trình THPT lớp 10, 11 và 12.
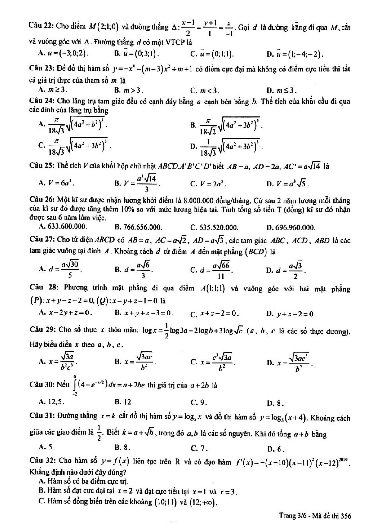
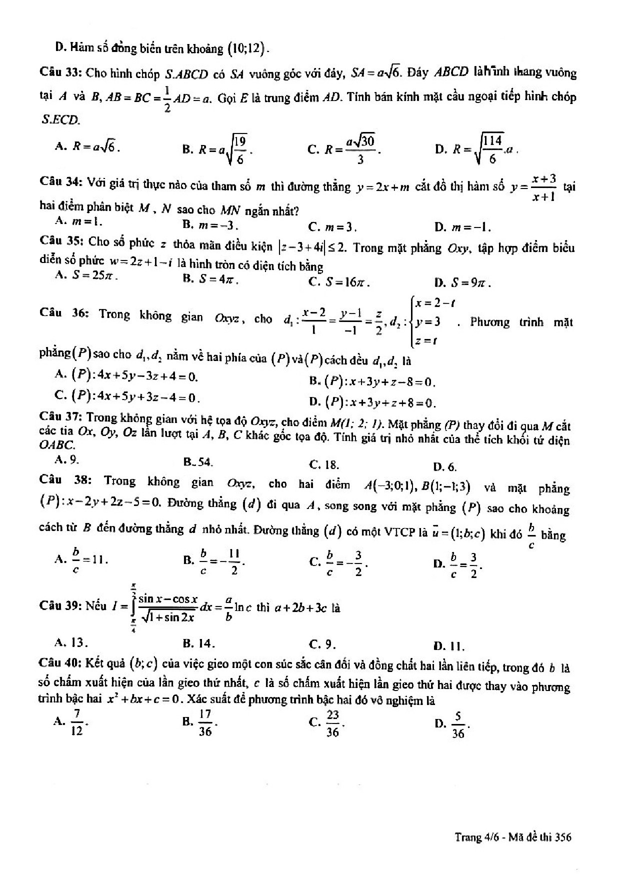
Dưới đây là đề thi thử THPT quốc gia 2019 môn Toán trường THPT chuyên Sơn La:
![]() |
| Đề thi thử THPT quốc gia 2019 môn Toán THPT chuyên Sơn La |
![]() |
![]() |
![]() |
![]() |
![]() |
| Đề thi thử THPT quốc gia 2019 môn Toán THPT chuyên Sơn La |
Thí sinh tải file PDF Đề thi thử THPT quốc gia 2019 môn Toán THPT chuyên Sơn La tại đây.
Chúng tôi sẽ cập nhật sớm nhất đáp án Đề thi thử THPT quốc gia 2019 môn Toán THPT chuyên Sơn La trong thời gian tới.
Đề thi thử THPT quốc gia 2019 môn Toán là cơ hội để học sinh lớp 12 luyện tập các dạng câu hỏi, những kiến thức đã được học để biết được năng lực môn Toán của mình, chuẩn bị cho kỳ thi THPT quốc gia 2019.
Theo Bộ GD&ĐT, năm 2019, điểm xét tốt nghiệp THPT gồm 70% điểm trung bình các bài thi THPT quốc gia dùng để xét tốt nghiệp THPT + 30% điểm trung bình cả năm lớp 12 của thí sinh + điểm ưu tiên, khuyến khích (nếu có).
Chúc các sĩ tử ôn luyện kiến thức vững vàng và "cá chép hóa rồng" thành công trong kỳ thi THPT quốc gia 2019 sắp tới!
Tin cùng chủ đề: Đề thi thử THPT Quốc gia 2019 môn Toán kèm đáp án
Tin bài liên quan
Đề thi thử THPT quốc gia 2019 môn Văn Sở GD&ĐT Bình Thuận
Đề thi thử THPT quốc gia 2019 môn Văn Sở GD&ĐT Ninh Bình
Đề thi thử THPT quốc gia 2019 môn Văn Sở GD&ĐT Đồng Tháp
Các tin bài khác
Thời tiết hôm nay (8/4): Nắng nóng gay gắt bao trùm nhiều khu vực
Thời tiết hôm nay (02/4): Bắc Bộ có mưa, Nam Bộ nắng nóng
Thời tiết hôm nay (25/3): Tây Bắc Bộ nắng nóng, Hà Nội mưa rải rác
Thời tiết hôm nay (23/3): Bắc Bộ mưa vài nơi, trưa chiều trời nắng
Đọc nhiều
Lễ ký kết một số văn kiện hợp tác tiêu biểu giữa Việt Nam - Trung Quốc
Khởi động dự án "Hành lang Xanh" 4,4 triệu Euro bảo tồn biển miền Trung
Lưu học sinh Lào, Campuchia đón Tết cổ truyền tại Trường Hữu nghị 80
Tổng Bí thư, Chủ tịch nước Tô Lâm: Việt Nam-Trung Quốc thúc đẩy 3 kết nối
Bờ cõi biển đảo
Miền đất - Con người Cuộc sống vùng biên Nhịp sống biển đảo Lịch sử chủ quyền Giao lưu hữu nghị
Giữ chuẩn quốc gia giữa xã nghèo vùng cao Điện Biên
Đắk Lắk: Ngư dân ký cam kết chống khai thác IUU
Thực hiện khuyến nghị của EC, nhiều địa phương tăng tốc gỡ "thẻ vàng" IUU
[Video] Cử tri cả nước nô nức đi bầu cử đại biểu Quốc hội khóa XVI và HĐND các cấp
[VIDEO] Tinh thần dân chủ của nhân dân Việt Nam trong bầu cử
Tổ chức Giao lưu Quốc tế Việt Nam Nhật Bản (FAVIJA): thúc đẩy hữu nghị, hợp tác đa phương
[Video] Vũ điệu chúc xuân sôi động của Đại sứ Hà Lan tại Việt Nam
[Video] Đại sứ Lào tại Việt Nam tin tưởng Đại hội XIV sẽ tạo động lực mạnh mẽ cho Việt Nam phát triển toàn diện
[Video] WVIV thúc đẩy nông nghiệp tái sinh, nâng cao sinh kế cộng đồng tại Thanh Hóa
[Video] Plan International và Tỉnh Đoàn Quảng Trị xây dựng lực lượng thanh niên hành động vì khí hậu
[Video] 10 sự kiện văn hóa, thể thao và du lịch tiêu biểu năm 2025
Plan International Việt Nam hỗ trợ khẩn cấp hơn 1,8 tỷ đồng cho người dân Đà Nẵng sau bão
Vietnam Happy Fest 2025: Lan tỏa những giá trị hạnh phúc giữa lòng Hà Nội
[VIDEO] Tổ chức Cứu trợ Trẻ em tiếp sức trẻ em Bắc Ninh sớm quay về nhịp sống sau thiên tai
[Video] World Vision hỗ trợ hơn 1.100 người dân Quảng Ngãi tiếp cận nước sạch bền vững
[Video] Đồng tâm, dốc sức cứu trợ đồng bào vùng lũ
[Video] Ấn Độ tặng Giải thưởng Hòa bình Romesh Chandra cho bà Nguyễn Thị Bình











