Đề thi thử THPT quốc gia 2019 THPT chuyên Phan Bội Châu môn Toán có đáp án
Đề thi thử THPT quốc gia 2019 được nhiều sĩ tử tìm kiếm để chuẩn bị kĩ càng cho kì thi THPT quốc gia 2019.
Nhiều trường THPT, sở giáo dục và đào tạo tổ chức cho thí sinh thi thử để các em biết được năng lực hiện tại của bản thân. Từ đó có mục tiêu và lộ trình học tập, ôn luyện cụ thể để chuẩn bị tốt cho kì thi THPT quốc gia 2019.
![]() |
| Thí sinh được luyện nhiều đề thi thử trước khi chính thức bước vào kì thi THPT quốc gia 2019. |
Theo thống kê số liệu sơ bộ của Bộ tới ngày 24/4, tổng số thí sinh đăng ký dự thi THPT quốc gia năm 2019 là 886.650 em. Trong đó, 652.980 em (chiếm gần 74%) đăng ký vào đại học.
Như vậy, hơn 230.000 thí sinh (chiếm 26%) không đăng kí xét tuyển đại học, cao đẳng năm 2019.
Trong số hơn 886.000 thí sinh đăng ký dự thi có hơn 653.000 thí sinh đăng ký lấy kết quả để xét tuyển đại học. Sau Hà Nội có số thí sinh đăng ký dự thi nhiều nhất, là TP HCM với gần 71.000 thí sinh.
Theo Bộ GD&ĐT, phương thức tổ chức các môn thi, bài thi của kì thi THPT quốc gia 2019 tương đối giống với năm 2018. Nội dung của đề thi năm 2019 bao gồm tất cả chương trình THPT lớp 10, 11 và 12.
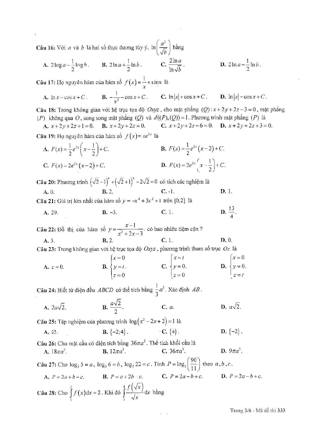
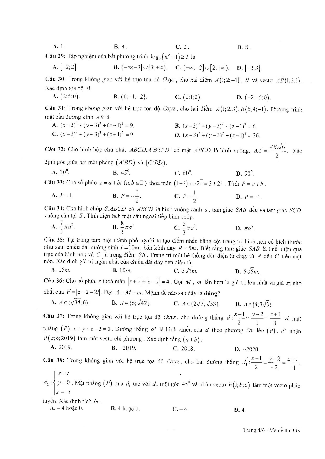
Dưới đây là đề thi thử THPT quốc gia 2019 môn Toán THPT chuyên Phan Bội Châu - Nghệ An:
![]() |
| Đề thi thử THPT quốc gia 2019 môn Toán THPT chuyên Phan Bội Châu |
![]() |
![]() |
![]() |
![]() |
![]() |
Thí sinh tải đề thi thử THPT quốc gia 2019 môn Toán THPT chuyên Phan Bội Châu và đáp án chi tiết tại đây
Đề thi thử THPT quốc gia 2019 môn Toán là cơ hội để học sinh lớp 12 luyện tập các dạng câu hỏi, những kiến thức đã được học để biết được năng lực môn Toán của mình, chuẩn bị cho kỳ thi THPT quốc gia 2019.
Theo Bộ GD&ĐT, số lượng thí sinh đăng kí bài thi khoa học xã hội là 468.000 em (chiếm 53%) cao hơn hẳn số lượng thí sinh đăng kí dự thi bài thi khoa học tự nhiên. Còn lượng thí sinh chọn cả hai bài thi khoa học tự nhiên và khoa học xã hội là 27.165 (chiếm 3,1%).
Kì thi THPT quốc gia 2019 diễn ra trong 3 ngày, từ 25 đến 27/6.
Chúc các sĩ tử ôn luyện kiến thức vững vàng và "cá chép hóa rồng" thành công trong kì thi THPT quốc gia 2019 sắp tới!
Tin cùng chủ đề: Đề thi thử THPT Quốc gia 2019 môn Toán kèm đáp án
Tin bài liên quan
Khoảnh khắc xúc động nhất chung kết Đường lên đỉnh Olympia 2019
Chung kết Đường lên đỉnh Olympia 2019 với 4 phần thi gay cấn của Quán quân Trần Thế Trung
Quán quân Đường lên đỉnh Olympia từng từ chối thi học sinh giỏi quốc gia
Các tin bài khác
Thời tiết hôm nay (8/4): Nắng nóng gay gắt bao trùm nhiều khu vực
Thời tiết hôm nay (02/4): Bắc Bộ có mưa, Nam Bộ nắng nóng
Thời tiết hôm nay (25/3): Tây Bắc Bộ nắng nóng, Hà Nội mưa rải rác
Thời tiết hôm nay (23/3): Bắc Bộ mưa vài nơi, trưa chiều trời nắng
Đọc nhiều
Lễ ký kết một số văn kiện hợp tác tiêu biểu giữa Việt Nam - Trung Quốc
Khởi động dự án "Hành lang Xanh" 4,4 triệu Euro bảo tồn biển miền Trung
Lưu học sinh Lào, Campuchia đón Tết cổ truyền tại Trường Hữu nghị 80
Tổng Bí thư, Chủ tịch nước Tô Lâm: Việt Nam-Trung Quốc thúc đẩy 3 kết nối
Bờ cõi biển đảo
Miền đất - Con người Cuộc sống vùng biên Nhịp sống biển đảo Lịch sử chủ quyền Giao lưu hữu nghị
Giữ chuẩn quốc gia giữa xã nghèo vùng cao Điện Biên
Đắk Lắk: Ngư dân ký cam kết chống khai thác IUU
Thực hiện khuyến nghị của EC, nhiều địa phương tăng tốc gỡ "thẻ vàng" IUU
[Video] Cử tri cả nước nô nức đi bầu cử đại biểu Quốc hội khóa XVI và HĐND các cấp
[VIDEO] Tinh thần dân chủ của nhân dân Việt Nam trong bầu cử
Tổ chức Giao lưu Quốc tế Việt Nam Nhật Bản (FAVIJA): thúc đẩy hữu nghị, hợp tác đa phương
[Video] Vũ điệu chúc xuân sôi động của Đại sứ Hà Lan tại Việt Nam
[Video] Đại sứ Lào tại Việt Nam tin tưởng Đại hội XIV sẽ tạo động lực mạnh mẽ cho Việt Nam phát triển toàn diện
[Video] WVIV thúc đẩy nông nghiệp tái sinh, nâng cao sinh kế cộng đồng tại Thanh Hóa
[Video] Plan International và Tỉnh Đoàn Quảng Trị xây dựng lực lượng thanh niên hành động vì khí hậu
[Video] 10 sự kiện văn hóa, thể thao và du lịch tiêu biểu năm 2025
Plan International Việt Nam hỗ trợ khẩn cấp hơn 1,8 tỷ đồng cho người dân Đà Nẵng sau bão
Vietnam Happy Fest 2025: Lan tỏa những giá trị hạnh phúc giữa lòng Hà Nội
[VIDEO] Tổ chức Cứu trợ Trẻ em tiếp sức trẻ em Bắc Ninh sớm quay về nhịp sống sau thiên tai
[Video] World Vision hỗ trợ hơn 1.100 người dân Quảng Ngãi tiếp cận nước sạch bền vững
[Video] Đồng tâm, dốc sức cứu trợ đồng bào vùng lũ
[Video] Ấn Độ tặng Giải thưởng Hòa bình Romesh Chandra cho bà Nguyễn Thị Bình











