Giải chi tiết đề thi thử THPT quốc gia 2019 môn Toán lần 1 THPT chuyên Thái Bình
Đề thi thử THPT quốc gia 2019 là một trong những phương pháp giúp học sinh lớp 12 chuẩn bị kĩ càng hơn cho các kì thi khảo sát chất lượng và kì thi quan trọng nhất trong suốt 12 năm học.
Nhiều trường THPT, sở giáo dục và đào tạo tổ chức cho thí sinh thi thử để các em biết được năng lực hiện tại của bản thân. Từ đó có mục tiêu và lộ trình học tập, ôn luyện cụ thể để chuẩn bị tốt cho kì thi THPT quốc gia 2019.
![]() |
| Nhiều trường THPT tổ chức cho học sinh làm đề thi thử THPT quốc gia 2019. |
Theo Bộ GD&ĐT, phương thức tổ chức các môn thi, bài thi của kì thi THPT quốc gia 2019 tương đối giống với năm 2018. Nội dung của đề thi năm 2019 bao gồm tất cả chương trình THPT lớp 10, 11 và 12.
Trong đó, đối với môn Toán, thí sinh sẽ làm bài thi dưới dạng trắc nghiệm khách quan. Đề thi gồm 50 câu hỏi, thời gian làm bài của thí sinh là 90 phút.
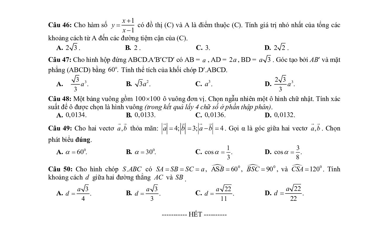
Dưới đây là đề thi thử THPT quốc gia năm 2019 môn Toán lần 1 trường THPT chuyên Thái Bình:
![]() |
| Đề thi thử THPT quốc gia 2019 môn Toán lần 1 THPT chuyên Thái Bình. |
![]() |
![]() |
![]() |
![]() |
![]() |
| Đề thi thử THPT quốc gia 2019 môn Toán lần 1 THPT chuyên Thái Bình. |
Thí sinh tham khảo đáp án chi tiết đề thi thử THPT quốc gia 2019 môn Toán lần 1 THPT chuyên Thái Bình tại đây
Đề thi thử THPT quốc gia 2019 môn Toán là cơ hội để học sinh lớp 12 luyện tập các dạng câu hỏi, những kiến thức đã được học để biết được năng lực môn Toán của mình, chuẩn bị cho kỳ thi THPT quốc gia 2019.
Các nhà trường và học sinh sử dụng tài liệu hướng dẫn ôn tập của Bộ Giáo dục và Đào tạo kết hợp với các đề thi minh họa, đề thi thử THPT quốc gia 2019 làm tài liệu tham khảo để dạy học và ôn tập trong năm học 2018 - 2019, chuẩn bị tốt cho kì thi THPT quốc gia năm 2019.
Từ 1 - 20/4 là thời gian để sĩ tử làm hồ sơ đăng kí dự thi THPT quốc gia 2019 và xét tuyển vào đại học, cao đẳng. Đây là khoảng thời gian quan trọng để thí sinh lựa chọn, sắp xếp nguyện vọng xét tuyển sao cho hợp lý nhất để trúng tuyển vào ngành học mình thích.
Chúc các sĩ tử ôn luyện kiến thức vững vàng và "cá chép hóa rồng" thành công trong kỳ thi THPT quốc gia 2019 sắp tới!
Trường THPT chuyên ĐH Vinh vừa tổ chức cho học sinh lớp 12 thi khảo sát chất lượng môn Toán lần 2. Dưới đây là ... |
Học sinh tham khảo đề thi thử THPT quốc gia 2019 môn Toán THPT chuyên Bắc Ninh có lời giải chi tiết dưới đây để chuẩn ... |
Trường THPT chuyên Vĩnh Phúc đã tổ chức cho học sinh lớp 12 thi khảo sát chất lượng môn Toán. Dưới đây là đề thi ... |
Dưới đây là lời giải chi tiết cho 50 câu hỏi trắc nghiệm khách quan trong đề thi thử THPT quốc gia 2019 môn Toán ... |
Trường THPT chuyên Lê Hồng Phong - Nam Định vừa tổ chức cho học sinh lớp 12 thi khảo sát chất lượng môn Toán. Dưới ... |
Tin cùng chủ đề: Đề thi thử THPT Quốc gia 2019 môn Toán kèm đáp án
Tin bài liên quan
Đề thi thử THPT quốc gia 2019 môn Văn Sở GD&ĐT Bình Thuận
Đề thi thử THPT quốc gia 2019 môn Toán lần 5 THPT chuyên Thái Bình
Đề thi thử THPT quốc gia 2019 môn Văn Sở GD&ĐT Ninh Bình
Các tin bài khác
Dự báo thời tiết các khu vực trên cả nước dịp bầu cử đại biểu Quốc hội khóa XVI
Thời tiết hôm nay (11/3): Miền Bắc rét về đêm và sáng, ngày nắng
39 suất học bổng toàn phần tại New Zealand
Quy định mới về tổ chức thi đánh giá năng lực ngoại ngữ và năng lực tiếng Việt
Đọc nhiều
Phục hồi chức năng tại nhà giúp cải thiện chất lượng sống cho người khuyết tật do chất độc da cam
Chuyến thăm của Thủ tướng tới Nga: Gắn kết kiều bào, thúc đẩy hợp tác nhiều mặt
"Việt Nam hợp tác với EU trong chống khai thác IUU bằng tinh thần cầu thị"
Tọa đàm "Cơ sở khoa học của hoạt động đối ngoại nhân dân Việt Nam"
Bờ cõi biển đảo
Miền đất - Con người Cuộc sống vùng biên Nhịp sống biển đảo Lịch sử chủ quyền Giao lưu hữu nghị
Tàu 016 - Quang Trung sẵn sàng tham gia diễn tập hải quân đa phương Kakadu 2026 tại Úc
Giao lưu hữu nghị quốc phòng biên giới Việt Nam - Trung Quốc lần thứ 10
Bệnh xá đảo Song Tử Tây, đặc khu Trường Sa cấp cứu kịp thời ngư dân bị giảm áp do lặn sâu
[Video] Cử tri cả nước nô nức đi bầu cử đại biểu Quốc hội khóa XVI và HĐND các cấp
[VIDEO] Tinh thần dân chủ của nhân dân Việt Nam trong bầu cử
Tổ chức Giao lưu Quốc tế Việt Nam Nhật Bản (FAVIJA): thúc đẩy hữu nghị, hợp tác đa phương
[Video] Vũ điệu chúc xuân sôi động của Đại sứ Hà Lan tại Việt Nam
[Video] Đại sứ Lào tại Việt Nam tin tưởng Đại hội XIV sẽ tạo động lực mạnh mẽ cho Việt Nam phát triển toàn diện
[Video] WVIV thúc đẩy nông nghiệp tái sinh, nâng cao sinh kế cộng đồng tại Thanh Hóa
[Video] Plan International và Tỉnh Đoàn Quảng Trị xây dựng lực lượng thanh niên hành động vì khí hậu
[Video] 10 sự kiện văn hóa, thể thao và du lịch tiêu biểu năm 2025
Plan International Việt Nam hỗ trợ khẩn cấp hơn 1,8 tỷ đồng cho người dân Đà Nẵng sau bão
Vietnam Happy Fest 2025: Lan tỏa những giá trị hạnh phúc giữa lòng Hà Nội
[VIDEO] Tổ chức Cứu trợ Trẻ em tiếp sức trẻ em Bắc Ninh sớm quay về nhịp sống sau thiên tai
[Video] World Vision hỗ trợ hơn 1.100 người dân Quảng Ngãi tiếp cận nước sạch bền vững
[Video] Đồng tâm, dốc sức cứu trợ đồng bào vùng lũ
[Video] Ấn Độ tặng Giải thưởng Hòa bình Romesh Chandra cho bà Nguyễn Thị Bình












