Giải chi tiết đề thi thử THPT quốc gia 2019 môn Toán THPT chuyên Hạ Long
Đề thi thử THPT quốc gia 2019 là một trong những phương pháp giúp học sinh lớp 12 chuẩn bị kĩ càng hơn cho các kì thi khảo sát chất lượng và kì thi quan trọng nhất trong suốt 12 năm học.
![]() |
| Nhiều trường THPT tổ chức cho học sinh làm đề thi thử THPT quốc gia 2019. |
Theo Bộ GD&ĐT, phương thức tổ chức các môn thi, bài thi của kì thi THPT quốc gia 2019 tương đối giống với năm 2018. Nội dung của đề thi năm 2019 bao gồm tất cả chương trình THPT lớp 10, 11 và 12.
Trong đó, đối với môn Toán, thí sinh sẽ làm bài thi dưới dạng trắc nghiệm khách quan. Đề thi gồm 50 câu hỏi, thời gian làm bài của thí sinh là 90 phút.
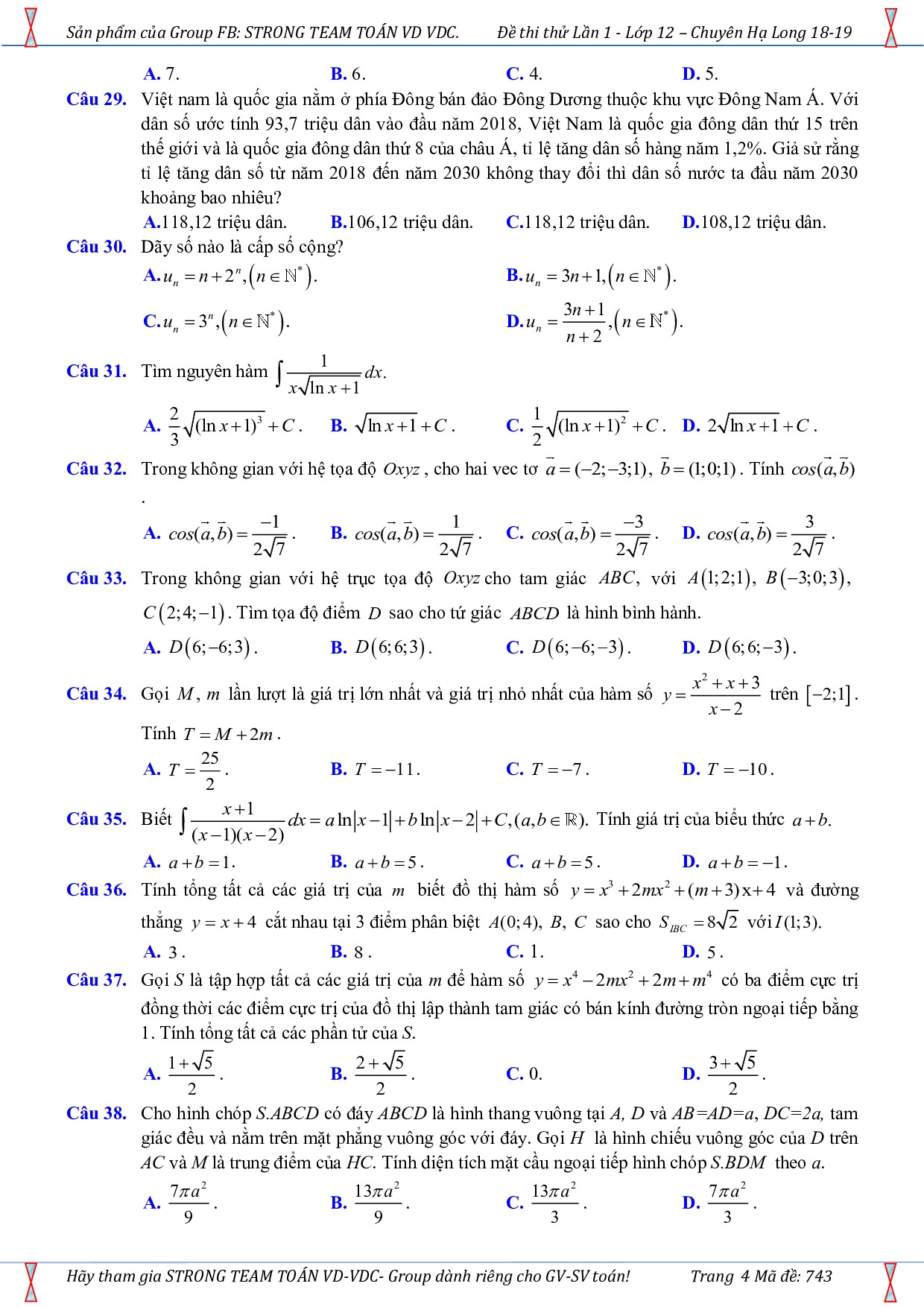
Dưới đây là đề thi thử THPT quốc gia năm 2019 môn Toán THPT chuyên Hạ Long - Quảng Ninh:
![]() |
| Đề thi thử THPT quốc gia 2019 môn Toán THPT chuyên Hạ Long - Quảng Ninh. |
![]() |
![]() |
![]() |
![]() |
![]() |
| Đề thi thử THPT quốc gia 2019 môn Toán THPT chuyên Hạ Long. |
Dưới đây là khung đáp án và lời giải chi tiết Đề thi thử THPT quốc gia 2019 môn Toán THPT chuyên Hạ Long - Quảng Ninh:
![]() |
| Đáp án Đề thi thử THPT quốc gia 2019 môn Toán THPT chuyên Hạ Long - Quảng Ninh. |
Thí sinh có thể tham khảo lời giải chi tiết đối với từng câu hỏi của đề thi thử trên tại đây
Đề thi thử THPT quốc gia 2019 môn Toán là cơ hội để học sinh lớp 12 luyện tập các dạng câu hỏi, những kiến thức đã được học để biết được năng lực môn Toán của mình, chuẩn bị cho kỳ thi THPT quốc gia 2019.
Các nhà trường và học sinh sử dụng tài liệu hướng dẫn ôn tập của Bộ Giáo dục và Đào tạo kết hợp với các đề thi minh họa, đề thi thử THPT quốc gia 2019 làm tài liệu tham khảo để dạy học và ôn tập trong năm học 2018 - 2019, chuẩn bị tốt cho kì thi THPT quốc gia năm 2019.
Chúc các sĩ tử ôn luyện kiến thức vững vàng và "cá chép hóa rồng" thành công trong kỳ thi THPT quốc gia 2019 sắp tới!
Trường THPT chuyên ĐH Vinh vừa tổ chức cho học sinh lớp 12 thi khảo sát chất lượng môn Toán. Dưới đây là đề thi ... |
Trường THPT chuyên Vĩnh Phúc vừa tổ chức cho học sinh lớp 12 thi khảo sát chất lượng môn Toán. Dưới đây là đề thi ... |
(TĐO) - Dưới đây là đề thi thử THPT quốc gia năm 2019 môn Toán lần 1 THPT chuyên Thái Nguyên có lời giải chi ... |
Nhiều thí sinh lớp 12 ở Hà Nội nhận xét đề thi môn Ngữ văn sáng nay phù hợp với năng lực của bản thân ... |
(TĐO) - Thi thử THPT quốc gia 2019 tại Hà Nội là đợt khảo sát chất lượng diễn ra từ ngày 27 - 29/3 nhằm chuẩn ... |
Tin cùng chủ đề: Đề thi thử THPT Quốc gia 2019 môn Toán kèm đáp án
Tin bài liên quan
Hơn 200 bài thi trắc nghiệm thay đổi điểm sau chấm phúc khảo
Sau chấm phúc khảo, Tây Ninh có thí sinh tăng từ 0 lên 8,75 điểm
TP.HCM không có thí sinh đạt điểm 10 môn Toán thi THPT quốc gia 2019
Các tin bài khác
Thời tiết hôm nay (8/4): Nắng nóng gay gắt bao trùm nhiều khu vực
Thời tiết hôm nay (02/4): Bắc Bộ có mưa, Nam Bộ nắng nóng
Thời tiết hôm nay (25/3): Tây Bắc Bộ nắng nóng, Hà Nội mưa rải rác
Thời tiết hôm nay (23/3): Bắc Bộ mưa vài nơi, trưa chiều trời nắng
Đọc nhiều
Cần Thơ: Khánh thành khu vui chơi trẻ em tại Trường Mẫu giáo Vĩnh Viễn 1
Việt Nam - Cuba vun đắp quan hệ đặc biệt từ tinh thần Giron
Tìm giải pháp gìn giữ tiếng Việt tại Kyushu (Nhật Bản)
Tuổi trẻ Việt Nam – Lào – Campuchia lan tỏa trách nhiệm, cống hiến vì cộng đồng
Bờ cõi biển đảo
Miền đất - Con người Cuộc sống vùng biên Nhịp sống biển đảo Lịch sử chủ quyền Giao lưu hữu nghị
Thúc đẩy công trình trọng điểm, bảo đảm quốc phòng - an ninh
Từ bản làng đến lớp học: Gieo mầm văn hóa giao thông nơi vùng biên
Giữ chuẩn quốc gia giữa xã nghèo vùng cao Điện Biên
[Video] Cử tri cả nước nô nức đi bầu cử đại biểu Quốc hội khóa XVI và HĐND các cấp
[VIDEO] Tinh thần dân chủ của nhân dân Việt Nam trong bầu cử
Tổ chức Giao lưu Quốc tế Việt Nam Nhật Bản (FAVIJA): thúc đẩy hữu nghị, hợp tác đa phương
[Video] Vũ điệu chúc xuân sôi động của Đại sứ Hà Lan tại Việt Nam
[Video] Đại sứ Lào tại Việt Nam tin tưởng Đại hội XIV sẽ tạo động lực mạnh mẽ cho Việt Nam phát triển toàn diện
[Video] WVIV thúc đẩy nông nghiệp tái sinh, nâng cao sinh kế cộng đồng tại Thanh Hóa
[Video] Plan International và Tỉnh Đoàn Quảng Trị xây dựng lực lượng thanh niên hành động vì khí hậu
[Video] 10 sự kiện văn hóa, thể thao và du lịch tiêu biểu năm 2025
Plan International Việt Nam hỗ trợ khẩn cấp hơn 1,8 tỷ đồng cho người dân Đà Nẵng sau bão
Vietnam Happy Fest 2025: Lan tỏa những giá trị hạnh phúc giữa lòng Hà Nội
[VIDEO] Tổ chức Cứu trợ Trẻ em tiếp sức trẻ em Bắc Ninh sớm quay về nhịp sống sau thiên tai
[Video] World Vision hỗ trợ hơn 1.100 người dân Quảng Ngãi tiếp cận nước sạch bền vững
[Video] Đồng tâm, dốc sức cứu trợ đồng bào vùng lũ
[Video] Ấn Độ tặng Giải thưởng Hòa bình Romesh Chandra cho bà Nguyễn Thị Bình












