Giải chi tiết đề thi thử THPT quốc gia 2019 môn Toán THPT chuyên Quốc học Huế
Đề thi thử THPT quốc gia 2019 là một trong những phương pháp giúp học sinh lớp 12 chuẩn bị kĩ càng hơn cho các kì thi khảo sát chất lượng và kì thi quan trọng nhất trong suốt 12 năm học.
Mới đây, trường THPT chuyên Quốc học Huế đã tổ chức cho học sinh khối 12 làm đề thi thử các môn để chuẩn bị cho kì thi THPT quốc gia 2019. Thí sinh tiến hành làm các bài thi, môn thi được tổ chức theo hình thức của kì thi quốc gia này.
![]() |
| Học sinh nhiều trường THPT trên cả nước được làm các đề thi thử để sẵn sàng cho kì thi THPT quốc gia 2019. |
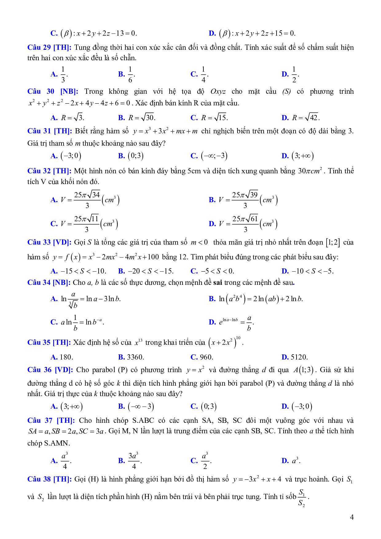
Dưới đây là Đề thi thử THPT quốc gia 2019 môn Toán THPT chuyên Quốc học Huế để các sĩ tử tham khảo:
![]() |
| Đề thi thử THPT quốc gia 2019 môn Toán THPT chuyên Quốc học Huế |
![]() |
![]() |
![]() |
![]() |
![]() |
| Đề thi thử THPT quốc gia 2019 môn Toán THPT chuyên Quốc học Huế |
Thí sinh tải PDF lời giải chi tiết đề thi thử THPT quốc gia 2019 môn Toán THPT chuyên Quốc học Huế tại đây
Đề thi thử THPT quốc gia 2019 môn Toán là cơ hội để học sinh lớp 12 luyện tập các dạng câu hỏi, những kiến thức đã được học để biết được năng lực môn Toán của mình, chuẩn bị cho kỳ thi THPT quốc gia 2019.
Các nhà trường và học sinh sử dụng tài liệu hướng dẫn ôn tập của Bộ Giáo dục và Đào tạo kết hợp với các đề thi minh họa, đề thi thử THPT quốc gia 2019 làm tài liệu tham khảo để dạy học và ôn tập trong năm học 2018 - 2019, chuẩn bị tốt cho kì thi THPT quốc gia năm 2019.
Chúc các sĩ tử ôn luyện kiến thức vững vàng và "cá chép hóa rồng" thành công trong kỳ thi THPT quốc gia 2019 sắp tới!
Tin bài liên quan
Đề thi thử THPT quốc gia 2019 môn Văn Sở GD&ĐT Bình Thuận
Đề thi thử THPT quốc gia 2019 môn Toán lần 5 THPT chuyên Thái Bình
Đề thi thử THPT quốc gia 2019 môn Văn Sở GD&ĐT Ninh Bình
Các tin bài khác
Thời tiết hôm nay (8/4): Nắng nóng gay gắt bao trùm nhiều khu vực
Thời tiết hôm nay (02/4): Bắc Bộ có mưa, Nam Bộ nắng nóng
Thời tiết hôm nay (25/3): Tây Bắc Bộ nắng nóng, Hà Nội mưa rải rác
Thời tiết hôm nay (23/3): Bắc Bộ mưa vài nơi, trưa chiều trời nắng
Đọc nhiều
Lễ ký kết một số văn kiện hợp tác tiêu biểu giữa Việt Nam - Trung Quốc
Khởi động dự án "Hành lang Xanh" 4,4 triệu Euro bảo tồn biển miền Trung
Lưu học sinh Lào, Campuchia đón Tết cổ truyền tại Trường Hữu nghị 80
Tổng Bí thư, Chủ tịch nước Tô Lâm: Việt Nam-Trung Quốc thúc đẩy 3 kết nối
Bờ cõi biển đảo
Miền đất - Con người Cuộc sống vùng biên Nhịp sống biển đảo Lịch sử chủ quyền Giao lưu hữu nghị
Giữ chuẩn quốc gia giữa xã nghèo vùng cao Điện Biên
Đắk Lắk: Ngư dân ký cam kết chống khai thác IUU
Thực hiện khuyến nghị của EC, nhiều địa phương tăng tốc gỡ "thẻ vàng" IUU
[Video] Cử tri cả nước nô nức đi bầu cử đại biểu Quốc hội khóa XVI và HĐND các cấp
[VIDEO] Tinh thần dân chủ của nhân dân Việt Nam trong bầu cử
Tổ chức Giao lưu Quốc tế Việt Nam Nhật Bản (FAVIJA): thúc đẩy hữu nghị, hợp tác đa phương
[Video] Vũ điệu chúc xuân sôi động của Đại sứ Hà Lan tại Việt Nam
[Video] Đại sứ Lào tại Việt Nam tin tưởng Đại hội XIV sẽ tạo động lực mạnh mẽ cho Việt Nam phát triển toàn diện
[Video] WVIV thúc đẩy nông nghiệp tái sinh, nâng cao sinh kế cộng đồng tại Thanh Hóa
[Video] Plan International và Tỉnh Đoàn Quảng Trị xây dựng lực lượng thanh niên hành động vì khí hậu
[Video] 10 sự kiện văn hóa, thể thao và du lịch tiêu biểu năm 2025
Plan International Việt Nam hỗ trợ khẩn cấp hơn 1,8 tỷ đồng cho người dân Đà Nẵng sau bão
Vietnam Happy Fest 2025: Lan tỏa những giá trị hạnh phúc giữa lòng Hà Nội
[VIDEO] Tổ chức Cứu trợ Trẻ em tiếp sức trẻ em Bắc Ninh sớm quay về nhịp sống sau thiên tai
[Video] World Vision hỗ trợ hơn 1.100 người dân Quảng Ngãi tiếp cận nước sạch bền vững
[Video] Đồng tâm, dốc sức cứu trợ đồng bào vùng lũ
[Video] Ấn Độ tặng Giải thưởng Hòa bình Romesh Chandra cho bà Nguyễn Thị Bình











