Sau chấm phúc khảo, Tây Ninh có thí sinh tăng từ 0 lên 8,75 điểm
| Hướng dẫn phúc khảo bài thi THPT quốc gia 2019 Tuyển sinh lớp 10: Phúc khảo điểm bài thi như thế nào? |
Ngày 26/7, Sở Giáo dục và Đào tạo Tây Ninh đã có kết quả chấm phúc khảo kì thi THPT quốc gia 2019.
Theo đó, sau khi chấm phúc khảo, hội đồng thi tỉnh Tây Ninh xác định có 95 bài thi thay đổi điểm so với điểm công bố ban đầu. Đáng chú ý, tất cả các bài thi sau chấm phúc khảo điểm đều tăng, đặc biệt có bài thi tăng từ 0 lên 8,75 điểm.
Cụ thể, ở các môn thi trắc nghiệm, có 58 bài thi bị điểm 0.
Trong đó, sau chấm phúc khảo, bài tăng điểm nhiều nhất là 0 lên 8,75; bài tăng điểm ít nhất từ 0 lên 2. Ngoài ra, có rất nhiều bài thi tăng điểm từ 0 lên 7 - 7,2 - 7,5.
Ở môn tự luận (Ngữ văn) có 33 bài thi tăng điểm sau chấm phúc khảo. Mức tăng chủ yếu từ 0,25 đến 0,75 điểm. Bài tăng nhiều nhất là 1,75 điểm.
Các thí sinh sau chấm phúc khảo có điểm thi tăng nhiều nhất là:
Nguyễn Thị Kim Thoa: môn Giáo dục Công dân (từ 0 lên 8,75 điểm)
Lê Quyền Huy: môn Giáo dục Công dân (từ 0 lên 8 điểm)
Võ Thị Kim Loan: môn Toán (từ 0 lên 8 điểm).
Nguyễn Thị Thu Thảo: môn Giáo dục công dân (từ 0 lên 8 điểm)
Lê Quang Kỳ: môn Vật lý (từ 0 lên 8,5 điểm)
Ngoài ra, có nhiều thí sinh phúc khảo 3 bài thi và cả 3 bài đều tăng rất nhiều điểm.
Thí sinh Nguyễn Thị Thu Thảo: môn Giáo dục công dân (từ 0 lên 8 điểm); môn Địa (từ 0 lên 7,5 điểm); môn Sử (từ 0 lên 5,75).
Thí sinh Lê Quang Kỳ: môn Vật lý (từ 0 lên 8,5 điểm); môn Hóa (từ 0 lên 5,75 điểm); môn Sinh (từ 0 lên 6,25 điểm).
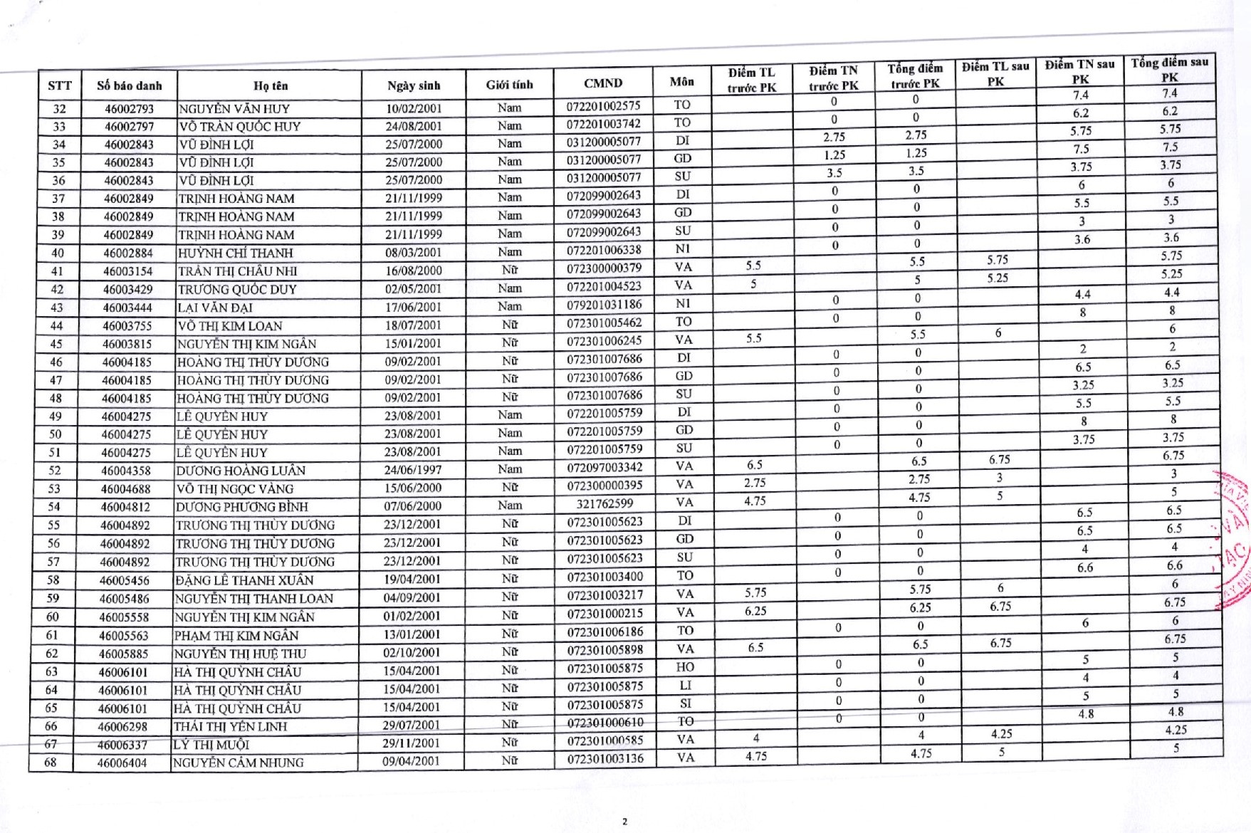
Danh sách 95 bài thi thay đổi kết quả sau chấm phúc khảo ở Tây Ninh:
![]() |
![]() |
![]() |
Trước đó, khi công bố kết quả thi THPT quốc gia 2019, Sở Giáo dục và Đào tạo Tây Ninh đã phát hiện 34 trường hợp bị điểm 0 ở các bài thi môn thi trắc nghiệm gồm Toán 13 bài, Tiếng Anh 9 bài; tổ hợp bài thi Khoa học tự nhiên 4 bài và Khoa học xã hội 8 bài.
Trong kì thi THPT quốc gia 2019, đơn vị chấm thi tại tỉnh Tây Ninh là trường Đại học Công nghệ Đồng Nai cũng xác nhận đã phát hiện sự cố khi chấm thi và báo cáo với Bộ GD&ĐT để xử lý.
Tin bài liên quan
Thí sinh thay đổi điểm sau phúc khảo được thêm 1 lần điều chỉnh nguyện vọng
Hơn 200 bài thi trắc nghiệm thay đổi điểm sau chấm phúc khảo
Hàng loạt địa phương công bố điểm phúc khảo thi THPT quốc gia
Các tin bài khác
Chuyên gia Hàn Quốc kỳ vọng về bước ngoặt phát triển bền vững của Việt Nam
Báo chí Cuba quan tâm theo dõi Đại hội đại biểu toàn quốc lần thứ XIV của Đảng Cộng sản Việt Nam
Thủ tướng: Vượt gió ngược, tạo nền tảng, bứt phá bước vào kỷ nguyên mới
Học giả quốc tế: Đại hội XIV mở ra kỷ nguyên phát triển mới của Việt Nam
Đọc nhiều
Bạn bè quốc tế chúc mừng Đại hội XIV của Đảng Cộng sản Việt Nam
Đại sứ Lào tại Việt Nam: Tin tưởng Đại hội XIV sẽ đưa Việt Nam bước vào giai đoạn phát triển nhanh và bền vững
Tiến sĩ Nguyễn Hồng Sơn: Phát huy trí tuệ kiều bào để thúc đẩy kinh tế tư nhân và đổi mới sáng tạo
[Ảnh] Lan tỏa tình hữu nghị qua giao lưu nghệ thuật quốc tế “Chào năm mới 2026”
Bờ cõi biển đảo
Miền đất - Con người Cuộc sống vùng biên Nhịp sống biển đảo Lịch sử chủ quyền Giao lưu hữu nghị
7 tỉnh, thành phía Nam phối hợp ngăn tàu cá vượt biên, chống khai thác IUU
Trao Bằng Tổ quốc ghi công liệt sĩ Phạm Văn Tuân hy sinh tại Trường Sa
Bộ Tư lệnh Vùng Cảnh sát biển 4 động viên cán bộ, chiến sĩ trước nhiệm vụ chống IUU dịp Tết
Multimedia
95 năm Đảng Cộng sản Việt Nam: Ngọn cờ dẫn lối dân tộc qua mọi chặng đường
[Infographic] Quy định về bảo vệ dữ liệu cá nhân đối với các nền tảng mạng xã hội từ 1/1/2026
Việt Nam khẳng định vị thế và dấu ấn nổi bật tại UNESCO
Tin quốc tế ngày 26/12: Thái Lan phá dỡ tượng Thần Vishnu ở biên giới với Campuchia, Trung Quốc cáo buộc Mỹ can thiệp quan hệ Trung - Ấn
[Infographic] Đại hội Thi đua yêu nước toàn quốc lần thứ XI
[Infographic] World Travel Awards 2025: Việt Nam tiếp tục được bình chọn là Điểm đến Di sản hàng đầu thế giới
[Infographic] Lịch sử hình thành và phát triển Liên hiệp các tổ chức hữu nghị Việt Nam
[Video] 10 sự kiện văn hóa, thể thao và du lịch tiêu biểu năm 2025
Plan International Việt Nam hỗ trợ khẩn cấp hơn 1,8 tỷ đồng cho người dân Đà Nẵng sau bão
Vietnam Happy Fest 2025: Lan tỏa những giá trị hạnh phúc giữa lòng Hà Nội
[VIDEO] Tổ chức Cứu trợ Trẻ em tiếp sức trẻ em Bắc Ninh sớm quay về nhịp sống sau thiên tai
[Video] World Vision hỗ trợ hơn 1.100 người dân Quảng Ngãi tiếp cận nước sạch bền vững
[Video] Đồng tâm, dốc sức cứu trợ đồng bào vùng lũ
[Video] Ấn Độ tặng Giải thưởng Hòa bình Romesh Chandra cho bà Nguyễn Thị Bình
[Video] Lễ dâng y Kathina tại Đà Nẵng: Sợi dây gắn kết Phật giáo các nước châu Á
Cả nước hướng về Thái Nguyên: Chung tay giúp người dân vượt qua mưa lũ
Trailer lễ hội Văn hóa Thế giới tại Hà Nội lần thứ nhất
[Video] Không khí rộn ràng ngày khai giảng năm học mới trên cả nước
[Video] Petr Tsvetov: Việt Nam ấm áp và thân thuộc
Việt Nam - Cuba: 65 năm cùng chung nhịp đập
[Video] Thiếu tướng Lào kể chuyện nhân dân Việt Nam che chở giữa mưa bom 1972








